Последно актуализиране :
27/01/2026
Антикоагулант   Heparin sodium  
Инжекция/Инжекционен
Стабилност на разтвори Стабилност на смеси Фактори, повлияващи стабилността Съвместимост Път на въвеждане Библиография Pdf
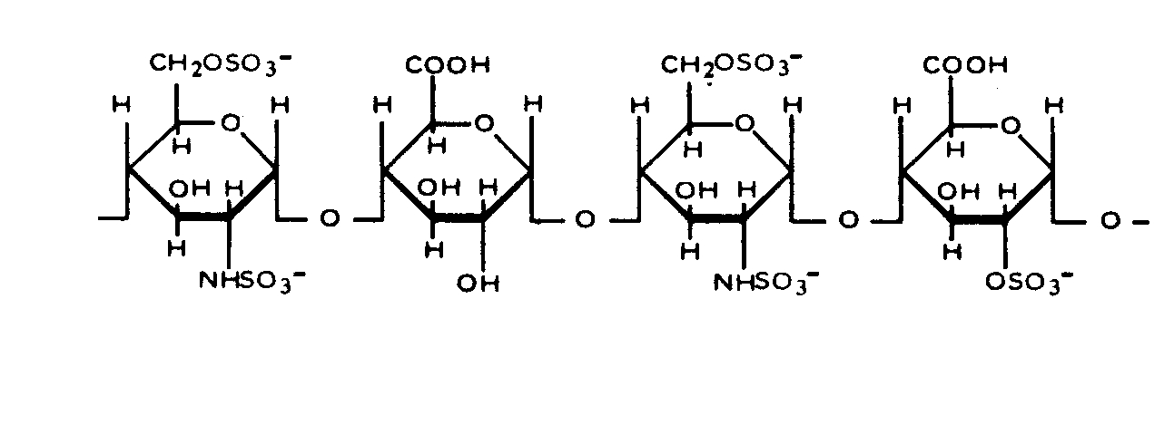
   Химична структура  

Търговско наименование   Търговско наименование     

Търговските имена са примерни и съставът на помощните вещества може да бъде различен в зависимост от държавата и лабораториите

Arapin Чили
Ateroclar Италия
Clarisco Италия
Epsoclar Италия
Hepaflex Норвегия, Финландия
Hepamax Еквадор, Колумбия, Чили
Heparin Австрия, Великобритания, Гърция, Дания, Канада, Норвегия, Русия, Съединени Американски щати / САЩ, Сърбия, Тайланд, Турция, Унгария, Финландия, Холандия, Швейцария, Швеция, Южноафриканска република / ЮАР
Heparine Белгия, Франция
Heparinised Австралия
Heparstad Германия
Liquemin Турция, Швейцария
Liquemine Бразилия
Monoparin Саудитска Арабия
Normoparin Италия
Nuparin Еквадор
Pharepa Италия
Riveparin Аржентина
Sobrius Аржентина, Еквадор
Thrombophob Германия
Стабилност на смеси   Инжекция/Инжекционен   Стабилност на смеси : Heparin sodium     
Контейнер Разтворител Концентрация Състав / молекула Температура Съхранение Продължителност на стабилността Библиография
Стъкло Sodium chloride 0,9% 9,75 UI/ml
Инжекция/Инжекционен   Heparin sodium   
Инжекция/Инжекционен   Vancomycin hydrochloride 0,025 mg/ml
23°C
85 Ден
Не е уточнено 3958
Биологичен анализ
Стъкло Sodium chloride 0,9% 50 UI/ml
Инжекция/Инжекционен   Heparin sodium   
Инжекция/Инжекционен   Magnesium sulfate 15,6 mg/ml
25°C
14 Ден
Светлина 2100
Биологичен анализ
Стъкло Sodium chloride 0,9% 2500 UI/ml
Инжекция/Инжекционен   Heparin sodium   
Инжекция/Инжекционен   Telavancin hydrochloride 2 & 5 mg/ml
Инжекция/Инжекционен   Sodium citrate 22 & 40 mg/ml
37°C
72 Час
Защита от светлина 3327
Степен на доказаност D
Стъкло Sodium chloride 0,9% 2500 UI/ml
Инжекция/Инжекционен   Heparin sodium   
Инжекция/Инжекционен   Vancomycin hydrochloride 2 & 5 mg/ml
Инжекция/Инжекционен   Sodium citrate 22 & 40 mg/ml
37°C
72 Час
Защита от светлина 3327
Степен на доказаност D
Стъкло Sodium chloride 0,9% 100 UI/ml
Инжекция/Инжекционен   Heparin sodium   
Инжекция/Инжекционен   Vancomycin hydrochloride 0,025 mg/ml
4°C
63 Ден
Защита от светлина 1414
Биологичен анализ
Стъкло Sodium chloride 0,9% 9,75 UI/ml
Инжекция/Инжекционен   Heparin sodium   
Инжекция/Инжекционен   Vancomycin hydrochloride 0,025 mg/ml
4°C
85 Ден
Не е уточнено 3958
Биологичен анализ
Стъкло Glucose 5% 59 UI/ml
Инжекция/Инжекционен   Heparin sodium   
Инжекция/Инжекционен   Milrinone lactate 0,2 mg/ml
22°C-23°C
4 Час
Светлина 813
Степен на доказаност A
Стъкло Glucose 5% 20 UI/ml
Инжекция/Инжекционен   Heparin sodium   
Инжекция/Инжекционен   Dopamine hydrochloride 0,8 mg/ml
23°C-25°C
24 Час
Светлина 738
Жокер
Стъкло Glucose 5% 50 UI/ml
Инжекция/Инжекционен   Heparin sodium   
Инжекция/Инжекционен   Palonosetron hydrochloride 25 µg/ml
25°C
4 Час
Светлина 2279
Степен на доказаност A+
Стъкло Glucose 5% 100 UI/ml
Инжекция/Инжекционен   Heparin sodium   
Инжекция/Инжекционен   Fluconazole 1 mg/ml
25°C
24 Час
Светлина 257
Степен на доказаност D
Поливинил хлорид Sodium chloride 0,9% 20 & 50 UI/ml
Инжекция/Инжекционен   Heparin sodium   
Инжекция/Инжекционен   Tirofiban 25 µg/ml
25°C
4 Час
Светлина 1420
Степен на доказаност C+
Поливинил хлорид Glucose 5% 50 UI/ml
Инжекция/Инжекционен   Heparin sodium   
Инжекция/Инжекционен   Flumazenil 0,02 mg/ml
23°C
24 Час
Светлина 187
Степен на доказаност A
Поливинил хлорид Glucose 5% 20 & 50 UI/ml
Инжекция/Инжекционен   Heparin sodium   
Инжекция/Инжекционен   Tirofiban 25 µg/ml
25°C
4 Час
Светлина 1420
Степен на доказаност C+
Поливинил хлорид Dianéal® PD1 1.5% glucose (Baxter) 0,5 UI/ml
Инжекция/Инжекционен   Heparin sodium   
Инжекция/Инжекционен   Piperacillin sodium / tazobactam 0,5/0,0625 mg/ml
37°C
10 Час
Не е уточнено 4180
Степен на доказаност B
Поливинил хлорид Dianéal® PD1 1.5% glucose (Baxter) 0,5 UI/ml
Инжекция/Инжекционен   Heparin sodium   
Инжекция/Инжекционен   Meropenem 0,5 mg/ml
37°C
10 Час
Не е уточнено 4180
Степен на доказаност B
Поливинил хлорид Dianéal® PD1 1.5% glucose (Baxter) 0,5 UI/ml
Инжекция/Инжекционен   Heparin sodium   
Инжекция/Инжекционен   Piperacillin sodium / tazobactam 0,5/0,0625 mg/ml
4°C
168 Час
Не е уточнено 4180
Степен на доказаност B
Поливинил хлорид Dianéal® PD1 1.5% glucose (Baxter) 0,5 UI/ml
Инжекция/Инжекционен   Heparin sodium   
Инжекция/Инжекционен   Meropenem 0,5 mg/ml
4°C
168 Час
Не е уточнено 4180
Степен на доказаност B
Поливинил хлорид Dianéal® PD2 4.25% glucose (Baxter) 0,5 UI/ml
Инжекция/Инжекционен   Heparin sodium   
Инжекция/Инжекционен   Piperacillin sodium / tazobactam 0,5/0,0625 mg/ml
37°C
10 Час
Не е уточнено 4180
Степен на доказаност B
Поливинил хлорид Dianéal® PD2 4.25% glucose (Baxter) 0,5 UI/ml
Инжекция/Инжекционен   Heparin sodium   
Инжекция/Инжекционен   Meropenem 0,5 mg/ml
37°C
10 Час
Не е уточнено 4180
Степен на доказаност B
Поливинил хлорид Dianéal® PD2 4.25% glucose (Baxter) 0.5 UI/ml
Инжекция/Инжекционен   Heparin sodium   
Инжекция/Инжекционен   Ceftazidime 0.125 mg/ml
37°C
12 Час
Не е уточнено 4056
Степен на доказаност B+
Поливинил хлорид Dianéal® PD2 4.25% glucose (Baxter) 0.5 UI/ml
Инжекция/Инжекционен   Heparin sodium   
Инжекция/Инжекционен   Ceftazidime 0.125 mg/ml
4°C
120 Час
Не е уточнено 4056
Степен на доказаност B+
Поливинил хлорид Dianéal® PD2 4.25% glucose (Baxter) 0,5 UI/ml
Инжекция/Инжекционен   Heparin sodium   
Инжекция/Инжекционен   Piperacillin sodium / tazobactam 0,5/0,0625 mg/ml
4°C
168 Час
Не е уточнено 4180
Степен на доказаност B
Поливинил хлорид Dianéal® PD2 4.25% glucose (Baxter) 0,5 UI/ml
Инжекция/Инжекционен   Heparin sodium   
Инжекция/Инжекционен   Meropenem 0,5 mg/ml
4°C
168 Час
Не е уточнено 4180
Степен на доказаност B
Поливинил хлорид Dianéal® PD2 2.5% glucose (Baxter) 0,5 UI/ml
Инжекция/Инжекционен   Heparin sodium   
Инжекция/Инжекционен   Piperacillin sodium / tazobactam 0,5/0,0625 mg/ml
37°C
10 Час
Не е уточнено 4180
Степен на доказаност B
Поливинил хлорид Dianéal® PD2 2.5% glucose (Baxter) 0,5 UI/ml
Инжекция/Инжекционен   Heparin sodium   
Инжекция/Инжекционен   Meropenem 0,5 mg/ml
37°C
10 Час
Не е уточнено 4180
Степен на доказаност B
Поливинил хлорид Dianéal® PD2 2.5% glucose (Baxter) 0.5 UI/ml
Инжекция/Инжекционен   Heparin sodium   
Инжекция/Инжекционен   Ceftazidime 0.125 mg/ml
37°C
12 Час
Не е уточнено 4056
Степен на доказаност B+
Поливинил хлорид Dianéal® PD2 2.5% glucose (Baxter) 0.5 UI/ml
Инжекция/Инжекционен   Heparin sodium   
Инжекция/Инжекционен   Ceftazidime 0.125 mg/ml
4°C
120 Час
Не е уточнено 4056
Степен на доказаност B+
Поливинил хлорид Dianéal® PD2 2.5% glucose (Baxter) 0,5 UI/ml
Инжекция/Инжекционен   Heparin sodium   
Инжекция/Инжекционен   Piperacillin sodium / tazobactam 0,5/0,0625 mg/ml
4°C
168 Час
Не е уточнено 4180
Степен на доказаност B
Поливинил хлорид Dianéal® PD2 2.5% glucose (Baxter) 0,5 UI/ml
Инжекция/Инжекционен   Heparin sodium   
Инжекция/Инжекционен   Meropenem 0,5 mg/ml
4°C
168 Час
Не е уточнено 4180
Степен на доказаност B
Поливинил хлорид Extraneal® (Baxter) 0,5 UI/ml
Инжекция/Инжекционен   Heparin sodium   
Инжекция/Инжекционен   Piperacillin sodium / tazobactam 0,5/0,0625 mg/ml
37°C
10 Час
Не е уточнено 4180
Степен на доказаност B
Поливинил хлорид Extraneal® (Baxter) 0,5 UI/ml
Инжекция/Инжекционен   Heparin sodium   
Инжекция/Инжекционен   Meropenem 0,5 mg/ml
37°C
10 Час
Не е уточнено 4180
Степен на доказаност B
Поливинил хлорид Extraneal® (Baxter) 0.5 UI/ml
Инжекция/Инжекционен   Heparin sodium   
Инжекция/Инжекционен   Ceftazidime 0.125 mg/ml
37°C
12 Час
Не е уточнено 4056
Степен на доказаност B+
Поливинил хлорид Extraneal® (Baxter) 0.5 UI/ml
Инжекция/Инжекционен   Heparin sodium   
Инжекция/Инжекционен   Ceftazidime 0.125 mg/ml
4°C
120 Час
Не е уточнено 4056
Степен на доказаност B+
Поливинил хлорид Extraneal® (Baxter) 0,5 UI/ml
Инжекция/Инжекционен   Heparin sodium   
Инжекция/Инжекционен   Piperacillin sodium / tazobactam 0,5/0,0625 mg/ml
4°C
168 Час
Не е уточнено 4180
Степен на доказаност B
Поливинил хлорид Extraneal® (Baxter) 0,5 UI/ml
Инжекция/Инжекционен   Heparin sodium   
Инжекция/Инжекционен   Meropenem 0,5 mg/ml
4°C
168 Час
Не е уточнено 4180
Степен на доказаност B
Поливинил хлорид Physionéal® 1.36 (Baxter) 1,4 UI/ml
Инжекция/Инжекционен   Heparin sodium   
Инжекция/Инжекционен   Piperacillin sodium / tazobactam 1,38/0,172 mg/ml
37°C
10 Час
Не е уточнено 4180
Степен на доказаност B
Поливинил хлорид Physionéal® 1.36 (Baxter) 1,4 UI/ml
Инжекция/Инжекционен   Heparin sodium   
Инжекция/Инжекционен   Piperacillin sodium / tazobactam 1,38/0,172 mg/ml
4°C
168 Час
Не е уточнено 4180
Степен на доказаност B
Поливинил хлорид Physionéal® 2.27 (Baxter) 1,4 UI/ml
Инжекция/Инжекционен   Heparin sodium   
Инжекция/Инжекционен   Piperacillin sodium / tazobactam 1,38/0,172 mg/ml
37°C
10 Час
Не е уточнено 4180
Степен на доказаност B
Поливинил хлорид Physionéal® 2.27 (Baxter) 1,4 UI/ml
Инжекция/Инжекционен   Heparin sodium   
Инжекция/Инжекционен   Piperacillin sodium / tazobactam 1,38/0,172 mg/ml
4°C
168 Час
Не е уточнено 4180
Степен на доказаност B
Поливинил хлорид Physionéal® 3.86 (Baxter) 1,4 UI/ml
Инжекция/Инжекционен   Heparin sodium   
Инжекция/Инжекционен   Piperacillin sodium / tazobactam 1,38/0,172 mg/ml
37°C
10 Час
Не е уточнено 4180
Степен на доказаност B
Поливинил хлорид Physionéal® 3.86 (Baxter) 1,4 UI/ml
Инжекция/Инжекционен   Heparin sodium   
Инжекция/Инжекционен   Piperacillin sodium / tazobactam 1,38/0,172 mg/ml
4°C
168 Час
Не е уточнено 4180
Степен на доказаност B
Полипропилен Sodium chloride 0,9% 5000 UI/ml
Инжекция/Инжекционен   Heparin sodium   
Инжекция/Инжекционен   Vancomycin hydrochloride 0,1 mg/ml
4°C
28 Ден
Не е уточнено 3956
Биологичен анализ
Полипропилен Sodium chloride 0,9% 5000 UI/ml
Инжекция/Инжекционен   Heparin sodium   
Инжекция/Инжекционен   Gentamicin sulfate 0,1 mg/ml
4°C
28 Ден
Не е уточнено 3956
Биологичен анализ
шприц полипропилен Sodium chloride 0,9% 100 UI/ml
Инжекция/Инжекционен   Heparin sodium   
Инжекция/Инжекционен   Vancomycin hydrochloride 0,025 mg/ml
4°C
14 Ден
Защита от светлина 895
Биологичен анализ
шприц полипропилен Ринтер лактат 100 UI/ml
Инжекция/Инжекционен   Heparin sodium   
Инжекция/Инжекционен   Daptomycin 5 mg/ml
-20°C
14 Ден
Защита от светлина 3665
Степен на доказаност B
шприц полипропилен Ринтер лактат 100 UI/ml
Инжекция/Инжекционен   Heparin sodium   
Инжекция/Инжекционен   Daptomycin 5 mg/ml
4°C
14 Ден
Не е уточнено 3665
Степен на доказаност B
шприц полипропилен Няма 960 UI/ml
Инжекция/Инжекционен   Heparin sodium   
Инжекция/Инжекционен   Fluorouracil 24 mg/ml
37°C
7 Ден
Не е уточнено 163
Степен на доказаност B
шприц полипропилен Няма 960 UI/ml
Инжекция/Инжекционен   Heparin sodium   
Инжекция/Инжекционен   Fluorouracil 24 mg/ml
4°C
14 Ден
Защита от светлина 163
Степен на доказаност B
Не е уточнено Sodium chloride 0,9% 5000 UI/ml
Инжекция/Инжекционен   Heparin sodium   
Инжекция/Инжекционен   Daptomycin 19,6 mg/ml
22°C-28°C
2 Час
Не е уточнено 1937
Степен на доказаност C+

  Mentions Légales