Last update :
27/01/2026
Anticoagulant   Heparin sodium  
injection
Stability in solutions Stability of mixtures Factors which affect stability Compatibility Route of administration References pdf
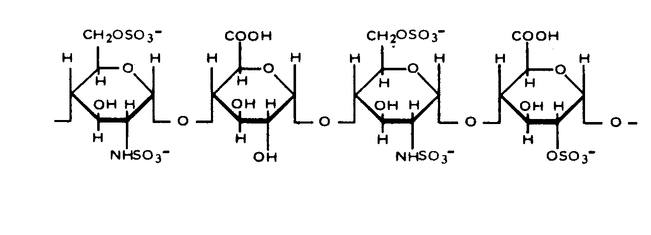
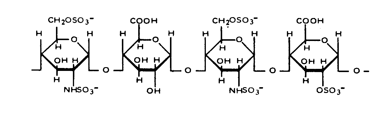
   Chemical structure  

Tradename   Tradename     

Trade names are indicative and excipients composition can be different depending on the country and manufacturers

Arapin Chile
Ateroclar Italy
Clarisco Italy
Epsoclar Italy
Hepaflex Finland, Norway
Hepamax Chile, Colombia, Ecuador
Heparin Austria, Canada, Denmark, Finland, Great Britain, Greece, Hungary, Netherlands, Norway, Republic of South Africa, russian, Serbia, Sweden, Switzerland, Thailand, Turkey, United States of America
Heparine Belgium, France
Heparinised Australia
Heparstad Germany
Liquemin Switzerland, Turkey
Liquemine Brazil
Monoparin Saudi Arabia
Normoparin Italy
Nuparin Ecuador
Pharepa Italy
Riveparin Argentina
Sobrius Argentina, Ecuador
Thrombophob Germany
Stability of mixtures   injection   Stability of mixtures : Heparin sodium     
Container Solvent Concentration Compound Temperature Storage Duration of stability References
Glass Sodium chloride 0,9% 9,75 UI/ml
injection   Heparin sodium   
injection   Vancomycin hydrochloride 0,025 mg/ml
23°C
85 Day
Not specified 3958
Biological analysis
Glass Sodium chloride 0,9% 50 UI/ml
injection   Heparin sodium   
injection   Magnesium sulfate 15,6 mg/ml
25°C
14 Day
Light 2100
Biological analysis
Glass Sodium chloride 0,9% 2500 UI/ml
injection   Heparin sodium   
injection   Telavancin hydrochloride 2 & 5 mg/ml
injection   Sodium citrate 22 & 40 mg/ml
37°C
72 Hour
Protect from light 3327
Level of evidence D
Glass Sodium chloride 0,9% 2500 UI/ml
injection   Heparin sodium   
injection   Vancomycin hydrochloride 2 & 5 mg/ml
injection   Sodium citrate 22 & 40 mg/ml
37°C
72 Hour
Protect from light 3327
Level of evidence D
Glass Sodium chloride 0,9% 100 UI/ml
injection   Heparin sodium   
injection   Vancomycin hydrochloride 0,025 mg/ml
4°C
63 Day
Protect from light 1414
Biological analysis
Glass Sodium chloride 0,9% 9,75 UI/ml
injection   Heparin sodium   
injection   Vancomycin hydrochloride 0,025 mg/ml
4°C
85 Day
Not specified 3958
Biological analysis
Glass Glucose 5% 59 UI/ml
injection   Heparin sodium   
injection   Milrinone lactate 0,2 mg/ml
22°C-23°C
4 Hour
Light 813
Level of evidence A
Glass Glucose 5% 20 UI/ml
injection   Heparin sodium   
injection   Dopamine hydrochloride 0,8 mg/ml
23°C-25°C
24 Hour
Light 738
Joker
Glass Glucose 5% 50 UI/ml
injection   Heparin sodium   
injection   Palonosetron hydrochloride 25 µg/ml
25°C
4 Hour
Light 2279
Level of evidence A+
Glass Glucose 5% 100 UI/ml
injection   Heparin sodium   
injection   Fluconazole 1 mg/ml
25°C
24 Hour
Light 257
Level of evidence D
Polyvinyl chloride Sodium chloride 0,9% 20 & 50 UI/ml
injection   Heparin sodium   
injection   Tirofiban 25 µg/ml
25°C
4 Hour
Light 1420
Level of evidence C+
Polyvinyl chloride Glucose 5% 50 UI/ml
injection   Heparin sodium   
injection   Flumazenil 0,02 mg/ml
23°C
24 Hour
Light 187
Level of evidence A
Polyvinyl chloride Glucose 5% 20 & 50 UI/ml
injection   Heparin sodium   
injection   Tirofiban 25 µg/ml
25°C
4 Hour
Light 1420
Level of evidence C+
Polyvinyl chloride Dianéal® PD1 1.5% glucose (Baxter) 0,5 UI/ml
injection   Heparin sodium   
injection   Piperacillin sodium / tazobactam 0,5/0,0625 mg/ml
37°C
10 Hour
Not specified 4180
Level of evidence B
Polyvinyl chloride Dianéal® PD1 1.5% glucose (Baxter) 0,5 UI/ml
injection   Heparin sodium   
injection   Meropenem 0,5 mg/ml
37°C
10 Hour
Not specified 4180
Level of evidence B
Polyvinyl chloride Dianéal® PD1 1.5% glucose (Baxter) 0,5 UI/ml
injection   Heparin sodium   
injection   Piperacillin sodium / tazobactam 0,5/0,0625 mg/ml
4°C
168 Hour
Not specified 4180
Level of evidence B
Polyvinyl chloride Dianéal® PD1 1.5% glucose (Baxter) 0,5 UI/ml
injection   Heparin sodium   
injection   Meropenem 0,5 mg/ml
4°C
168 Hour
Not specified 4180
Level of evidence B
Polyvinyl chloride Dianéal® PD2 4.25% glucose (Baxter) 0,5 UI/ml
injection   Heparin sodium   
injection   Piperacillin sodium / tazobactam 0,5/0,0625 mg/ml
37°C
10 Hour
Not specified 4180
Level of evidence B
Polyvinyl chloride Dianéal® PD2 4.25% glucose (Baxter) 0,5 UI/ml
injection   Heparin sodium   
injection   Meropenem 0,5 mg/ml
37°C
10 Hour
Not specified 4180
Level of evidence B
Polyvinyl chloride Dianéal® PD2 4.25% glucose (Baxter) 0.5 UI/ml
injection   Heparin sodium   
injection   Ceftazidime 0.125 mg/ml
37°C
12 Hour
Not specified 4056
Level of evidence B+
Polyvinyl chloride Dianéal® PD2 4.25% glucose (Baxter) 0.5 UI/ml
injection   Heparin sodium   
injection   Ceftazidime 0.125 mg/ml
4°C
120 Hour
Not specified 4056
Level of evidence B+
Polyvinyl chloride Dianéal® PD2 4.25% glucose (Baxter) 0,5 UI/ml
injection   Heparin sodium   
injection   Piperacillin sodium / tazobactam 0,5/0,0625 mg/ml
4°C
168 Hour
Not specified 4180
Level of evidence B
Polyvinyl chloride Dianéal® PD2 4.25% glucose (Baxter) 0,5 UI/ml
injection   Heparin sodium   
injection   Meropenem 0,5 mg/ml
4°C
168 Hour
Not specified 4180
Level of evidence B
Polyvinyl chloride Dianéal® PD2 2.5% glucose (Baxter) 0,5 UI/ml
injection   Heparin sodium   
injection   Piperacillin sodium / tazobactam 0,5/0,0625 mg/ml
37°C
10 Hour
Not specified 4180
Level of evidence B
Polyvinyl chloride Dianéal® PD2 2.5% glucose (Baxter) 0,5 UI/ml
injection   Heparin sodium   
injection   Meropenem 0,5 mg/ml
37°C
10 Hour
Not specified 4180
Level of evidence B
Polyvinyl chloride Dianéal® PD2 2.5% glucose (Baxter) 0.5 UI/ml
injection   Heparin sodium   
injection   Ceftazidime 0.125 mg/ml
37°C
12 Hour
Not specified 4056
Level of evidence B+
Polyvinyl chloride Dianéal® PD2 2.5% glucose (Baxter) 0.5 UI/ml
injection   Heparin sodium   
injection   Ceftazidime 0.125 mg/ml
4°C
120 Hour
Not specified 4056
Level of evidence B+
Polyvinyl chloride Dianéal® PD2 2.5% glucose (Baxter) 0,5 UI/ml
injection   Heparin sodium   
injection   Piperacillin sodium / tazobactam 0,5/0,0625 mg/ml
4°C
168 Hour
Not specified 4180
Level of evidence B
Polyvinyl chloride Dianéal® PD2 2.5% glucose (Baxter) 0,5 UI/ml
injection   Heparin sodium   
injection   Meropenem 0,5 mg/ml
4°C
168 Hour
Not specified 4180
Level of evidence B
Polyvinyl chloride Extraneal® (Baxter) 0,5 UI/ml
injection   Heparin sodium   
injection   Piperacillin sodium / tazobactam 0,5/0,0625 mg/ml
37°C
10 Hour
Not specified 4180
Level of evidence B
Polyvinyl chloride Extraneal® (Baxter) 0,5 UI/ml
injection   Heparin sodium   
injection   Meropenem 0,5 mg/ml
37°C
10 Hour
Not specified 4180
Level of evidence B
Polyvinyl chloride Extraneal® (Baxter) 0.5 UI/ml
injection   Heparin sodium   
injection   Ceftazidime 0.125 mg/ml
37°C
12 Hour
Not specified 4056
Level of evidence B+
Polyvinyl chloride Extraneal® (Baxter) 0.5 UI/ml
injection   Heparin sodium   
injection   Ceftazidime 0.125 mg/ml
4°C
120 Hour
Not specified 4056
Level of evidence B+
Polyvinyl chloride Extraneal® (Baxter) 0,5 UI/ml
injection   Heparin sodium   
injection   Piperacillin sodium / tazobactam 0,5/0,0625 mg/ml
4°C
168 Hour
Not specified 4180
Level of evidence B
Polyvinyl chloride Extraneal® (Baxter) 0,5 UI/ml
injection   Heparin sodium   
injection   Meropenem 0,5 mg/ml
4°C
168 Hour
Not specified 4180
Level of evidence B
Polyvinyl chloride Physionéal® 1.36 (Baxter) 1,4 UI/ml
injection   Heparin sodium   
injection   Piperacillin sodium / tazobactam 1,38/0,172 mg/ml
37°C
10 Hour
Not specified 4180
Level of evidence B
Polyvinyl chloride Physionéal® 1.36 (Baxter) 1,4 UI/ml
injection   Heparin sodium   
injection   Piperacillin sodium / tazobactam 1,38/0,172 mg/ml
4°C
168 Hour
Not specified 4180
Level of evidence B
Polyvinyl chloride Physionéal® 2.27 (Baxter) 1,4 UI/ml
injection   Heparin sodium   
injection   Piperacillin sodium / tazobactam 1,38/0,172 mg/ml
37°C
10 Hour
Not specified 4180
Level of evidence B
Polyvinyl chloride Physionéal® 2.27 (Baxter) 1,4 UI/ml
injection   Heparin sodium   
injection   Piperacillin sodium / tazobactam 1,38/0,172 mg/ml
4°C
168 Hour
Not specified 4180
Level of evidence B
Polyvinyl chloride Physionéal® 3.86 (Baxter) 1,4 UI/ml
injection   Heparin sodium   
injection   Piperacillin sodium / tazobactam 1,38/0,172 mg/ml
37°C
10 Hour
Not specified 4180
Level of evidence B
Polyvinyl chloride Physionéal® 3.86 (Baxter) 1,4 UI/ml
injection   Heparin sodium   
injection   Piperacillin sodium / tazobactam 1,38/0,172 mg/ml
4°C
168 Hour
Not specified 4180
Level of evidence B
Polypropylene Sodium chloride 0,9% 5000 UI/ml
injection   Heparin sodium   
injection   Vancomycin hydrochloride 0,1 mg/ml
4°C
28 Day
Not specified 3956
Biological analysis
Polypropylene Sodium chloride 0,9% 5000 UI/ml
injection   Heparin sodium   
injection   Gentamicin sulfate 0,1 mg/ml
4°C
28 Day
Not specified 3956
Biological analysis
Polypropylen Syringe Sodium chloride 0,9% 100 UI/ml
injection   Heparin sodium   
injection   Vancomycin hydrochloride 0,025 mg/ml
4°C
14 Day
Protect from light 895
Biological analysis
Polypropylen Syringe Ringer’s lactate solution 100 UI/ml
injection   Heparin sodium   
injection   Daptomycin 5 mg/ml
-20°C
14 Day
Protect from light 3665
Level of evidence B
Polypropylen Syringe Ringer’s lactate solution 100 UI/ml
injection   Heparin sodium   
injection   Daptomycin 5 mg/ml
4°C
14 Day
Not specified 3665
Level of evidence B
Polypropylen Syringe None 960 UI/ml
injection   Heparin sodium   
injection   Fluorouracil 24 mg/ml
37°C
7 Day
Not specified 163
Level of evidence B
Polypropylen Syringe None 960 UI/ml
injection   Heparin sodium   
injection   Fluorouracil 24 mg/ml
4°C
14 Day
Protect from light 163
Level of evidence B
Not specified Sodium chloride 0,9% 5000 UI/ml
injection   Heparin sodium   
injection   Daptomycin 19,6 mg/ml
22°C-28°C
2 Hour
Not specified 1937
Level of evidence C+

  Mentions Légales