آخر تحديث :
27/01/2026
  مضاد للتخثر   Heparin sodium  
حقن
الاستقرار في حلول استقرار مخاليط العوامل التي تؤثر على الاستقرار التوافق طريقة التعاطي مراجع pdf
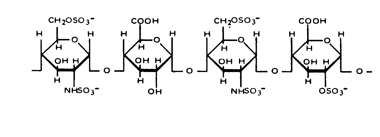
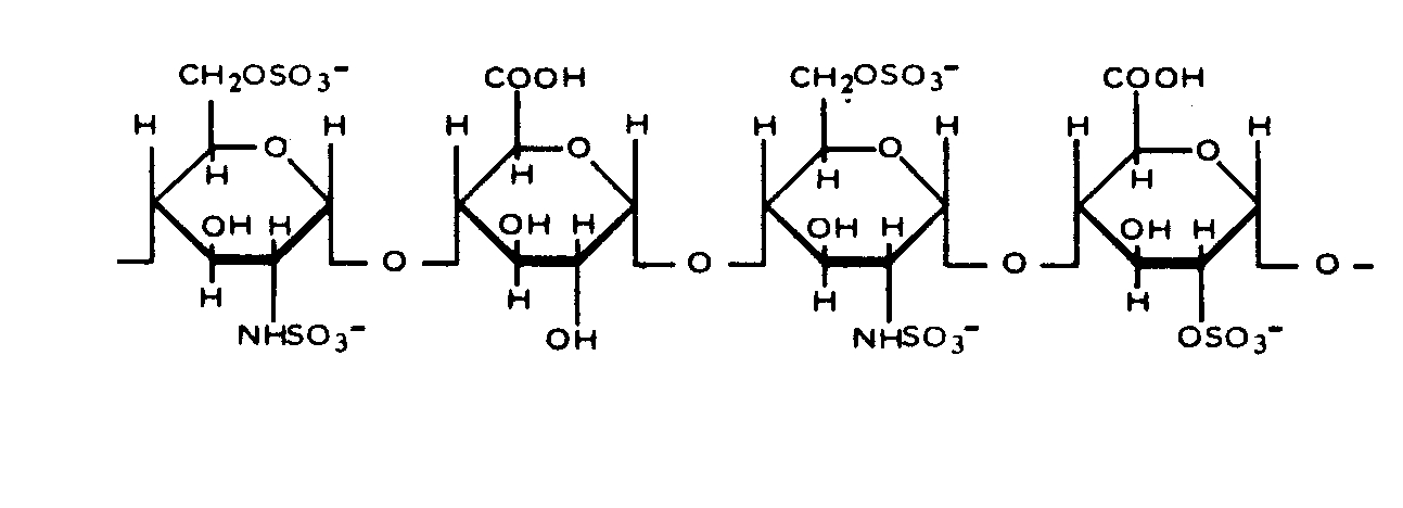
   التركيب الكيميائي  

حجز الاسم التجاري   حجز الاسم التجاري     

تحذير الأسماء التجاريه المختلفه قد تحتوي علي محتوي إضافات مختلفة حسب الدوله و المعمل

Arapin تشيلي
Ateroclar إيطاليا
Clarisco إيطاليا
Epsoclar إيطاليا
Hepaflex النرويج, فنلندا
Hepamax الإكوادور, تشيلي, كولومبيا
Heparin الدنمارك, الروسية, السويد, النرويج, النمسا, الولايات المتحدة, بريطانيا العظمي, تايلاند, تركيا, جمهورية جنوب أفريقيا, سويسرا, صربيا, فنلندا, كندا, هنغاريا, هولندا, يونان
Heparine بلجيكا, فرنسا
Heparinised أستراليا
Heparstad ألمانيا
Liquemin تركيا, سويسرا
Liquemine البرازيل
Monoparin العربية السعودية
Normoparin إيطاليا
Nuparin الإكوادور
Pharepa إيطاليا
Riveparin الأرجنتين
Sobrius الأرجنتين, الإكوادور
Thrombophob ألمانيا
استقرار مخاليط   حقن   استقرار مخاليط : Heparin sodium     
حاوية مذيب تركيز مركب درجة الحرارة تخزين مدة الاستقرار مراجع
زجاج كلوريد الصوديوم 0.9% 9,75 UI/ml
حقن   Heparin sodium   
حقن   Vancomycin hydrochloride 0,025 mg/ml
23°C
85 يوم
لم يتم تحديد 3958
التحليل البيولوجي
زجاج كلوريد الصوديوم 0.9% 50 UI/ml
حقن   Heparin sodium   
حقن   Magnesium sulfate 15,6 mg/ml
25°C
14 يوم
ضوء 2100
التحليل البيولوجي
زجاج كلوريد الصوديوم 0.9% 2500 UI/ml
حقن   Heparin sodium   
حقن   Telavancin hydrochloride 2 & 5 mg/ml
حقن   Sodium citrate 22 & 40 mg/ml
37°C
72 ساعة
بعيدا عن الضوء 3327
D مستوى الأدلة
زجاج كلوريد الصوديوم 0.9% 2500 UI/ml
حقن   Heparin sodium   
حقن   Vancomycin hydrochloride 2 & 5 mg/ml
حقن   Sodium citrate 22 & 40 mg/ml
37°C
72 ساعة
بعيدا عن الضوء 3327
D مستوى الأدلة
زجاج كلوريد الصوديوم 0.9% 100 UI/ml
حقن   Heparin sodium   
حقن   Vancomycin hydrochloride 0,025 mg/ml
4°C
63 يوم
بعيدا عن الضوء 1414
التحليل البيولوجي
زجاج كلوريد الصوديوم 0.9% 9,75 UI/ml
حقن   Heparin sodium   
حقن   Vancomycin hydrochloride 0,025 mg/ml
4°C
85 يوم
لم يتم تحديد 3958
التحليل البيولوجي
زجاج الجلوكوز %5 59 UI/ml
حقن   Heparin sodium   
حقن   Milrinone lactate 0,2 mg/ml
22°C-23°C
4 ساعة
ضوء 813
A مستوى الأدلة
زجاج الجلوكوز %5 20 UI/ml
حقن   Heparin sodium   
حقن   Dopamine hydrochloride 0,8 mg/ml
23°C-25°C
24 ساعة
ضوء 738
joker
زجاج الجلوكوز %5 50 UI/ml
حقن   Heparin sodium   
حقن   Palonosetron hydrochloride 25 µg/ml
25°C
4 ساعة
ضوء 2279
 A+ مستوى الأدلة
زجاج الجلوكوز %5 100 UI/ml
حقن   Heparin sodium   
حقن   Fluconazole 1 mg/ml
25°C
24 ساعة
ضوء 257
D مستوى الأدلة
البولي فينيل كلوريد كلوريد الصوديوم 0.9% 20 & 50 UI/ml
حقن   Heparin sodium   
حقن   Tirofiban 25 µg/ml
25°C
4 ساعة
ضوء 1420
C+ مستوى الأدلة
البولي فينيل كلوريد الجلوكوز %5 50 UI/ml
حقن   Heparin sodium   
حقن   Flumazenil 0,02 mg/ml
23°C
24 ساعة
ضوء 187
A مستوى الأدلة
البولي فينيل كلوريد الجلوكوز %5 20 & 50 UI/ml
حقن   Heparin sodium   
حقن   Tirofiban 25 µg/ml
25°C
4 ساعة
ضوء 1420
C+ مستوى الأدلة
البولي فينيل كلوريد Dianéal PD1 الجلوكوز%1.5 (باكستر) 0,5 UI/ml
حقن   Heparin sodium   
حقن   Piperacillin sodium / tazobactam 0,5/0,0625 mg/ml
37°C
10 ساعة
لم يتم تحديد 4180
B مستوى الأدلة
البولي فينيل كلوريد Dianéal PD1 الجلوكوز%1.5 (باكستر) 0,5 UI/ml
حقن   Heparin sodium   
حقن   Meropenem 0,5 mg/ml
37°C
10 ساعة
لم يتم تحديد 4180
B مستوى الأدلة
البولي فينيل كلوريد Dianéal PD1 الجلوكوز%1.5 (باكستر) 0,5 UI/ml
حقن   Heparin sodium   
حقن   Piperacillin sodium / tazobactam 0,5/0,0625 mg/ml
4°C
168 ساعة
لم يتم تحديد 4180
B مستوى الأدلة
البولي فينيل كلوريد Dianéal PD1 الجلوكوز%1.5 (باكستر) 0,5 UI/ml
حقن   Heparin sodium   
حقن   Meropenem 0,5 mg/ml
4°C
168 ساعة
لم يتم تحديد 4180
B مستوى الأدلة
البولي فينيل كلوريد Dianéal PD2 الجلوكوز%4.25 (باكستر) 0,5 UI/ml
حقن   Heparin sodium   
حقن   Piperacillin sodium / tazobactam 0,5/0,0625 mg/ml
37°C
10 ساعة
لم يتم تحديد 4180
B مستوى الأدلة
البولي فينيل كلوريد Dianéal PD2 الجلوكوز%4.25 (باكستر) 0,5 UI/ml
حقن   Heparin sodium   
حقن   Meropenem 0,5 mg/ml
37°C
10 ساعة
لم يتم تحديد 4180
B مستوى الأدلة
البولي فينيل كلوريد Dianéal PD2 الجلوكوز%4.25 (باكستر) 0.5 UI/ml
حقن   Heparin sodium   
حقن   Ceftazidime 0.125 mg/ml
37°C
12 ساعة
لم يتم تحديد 4056
B+ مستوى الأدلة
البولي فينيل كلوريد Dianéal PD2 الجلوكوز%4.25 (باكستر) 0.5 UI/ml
حقن   Heparin sodium   
حقن   Ceftazidime 0.125 mg/ml
4°C
120 ساعة
لم يتم تحديد 4056
B+ مستوى الأدلة
البولي فينيل كلوريد Dianéal PD2 الجلوكوز%4.25 (باكستر) 0,5 UI/ml
حقن   Heparin sodium   
حقن   Piperacillin sodium / tazobactam 0,5/0,0625 mg/ml
4°C
168 ساعة
لم يتم تحديد 4180
B مستوى الأدلة
البولي فينيل كلوريد Dianéal PD2 الجلوكوز%4.25 (باكستر) 0,5 UI/ml
حقن   Heparin sodium   
حقن   Meropenem 0,5 mg/ml
4°C
168 ساعة
لم يتم تحديد 4180
B مستوى الأدلة
البولي فينيل كلوريد Dianéal PD2 الجلوكوز%2.5 (باكستر) 0,5 UI/ml
حقن   Heparin sodium   
حقن   Piperacillin sodium / tazobactam 0,5/0,0625 mg/ml
37°C
10 ساعة
لم يتم تحديد 4180
B مستوى الأدلة
البولي فينيل كلوريد Dianéal PD2 الجلوكوز%2.5 (باكستر) 0,5 UI/ml
حقن   Heparin sodium   
حقن   Meropenem 0,5 mg/ml
37°C
10 ساعة
لم يتم تحديد 4180
B مستوى الأدلة
البولي فينيل كلوريد Dianéal PD2 الجلوكوز%2.5 (باكستر) 0.5 UI/ml
حقن   Heparin sodium   
حقن   Ceftazidime 0.125 mg/ml
37°C
12 ساعة
لم يتم تحديد 4056
B+ مستوى الأدلة
البولي فينيل كلوريد Dianéal PD2 الجلوكوز%2.5 (باكستر) 0.5 UI/ml
حقن   Heparin sodium   
حقن   Ceftazidime 0.125 mg/ml
4°C
120 ساعة
لم يتم تحديد 4056
B+ مستوى الأدلة
البولي فينيل كلوريد Dianéal PD2 الجلوكوز%2.5 (باكستر) 0,5 UI/ml
حقن   Heparin sodium   
حقن   Piperacillin sodium / tazobactam 0,5/0,0625 mg/ml
4°C
168 ساعة
لم يتم تحديد 4180
B مستوى الأدلة
البولي فينيل كلوريد Dianéal PD2 الجلوكوز%2.5 (باكستر) 0,5 UI/ml
حقن   Heparin sodium   
حقن   Meropenem 0,5 mg/ml
4°C
168 ساعة
لم يتم تحديد 4180
B مستوى الأدلة
البولي فينيل كلوريد Extraneal  (باكستر) 0,5 UI/ml
حقن   Heparin sodium   
حقن   Piperacillin sodium / tazobactam 0,5/0,0625 mg/ml
37°C
10 ساعة
لم يتم تحديد 4180
B مستوى الأدلة
البولي فينيل كلوريد Extraneal  (باكستر) 0,5 UI/ml
حقن   Heparin sodium   
حقن   Meropenem 0,5 mg/ml
37°C
10 ساعة
لم يتم تحديد 4180
B مستوى الأدلة
البولي فينيل كلوريد Extraneal  (باكستر) 0.5 UI/ml
حقن   Heparin sodium   
حقن   Ceftazidime 0.125 mg/ml
37°C
12 ساعة
لم يتم تحديد 4056
B+ مستوى الأدلة
البولي فينيل كلوريد Extraneal  (باكستر) 0.5 UI/ml
حقن   Heparin sodium   
حقن   Ceftazidime 0.125 mg/ml
4°C
120 ساعة
لم يتم تحديد 4056
B+ مستوى الأدلة
البولي فينيل كلوريد Extraneal  (باكستر) 0,5 UI/ml
حقن   Heparin sodium   
حقن   Piperacillin sodium / tazobactam 0,5/0,0625 mg/ml
4°C
168 ساعة
لم يتم تحديد 4180
B مستوى الأدلة
البولي فينيل كلوريد Extraneal  (باكستر) 0,5 UI/ml
حقن   Heparin sodium   
حقن   Meropenem 0,5 mg/ml
4°C
168 ساعة
لم يتم تحديد 4180
B مستوى الأدلة
البولي فينيل كلوريد Physionéal® 1.36 (Baxter) 1,4 UI/ml
حقن   Heparin sodium   
حقن   Piperacillin sodium / tazobactam 1,38/0,172 mg/ml
37°C
10 ساعة
لم يتم تحديد 4180
B مستوى الأدلة
البولي فينيل كلوريد Physionéal® 1.36 (Baxter) 1,4 UI/ml
حقن   Heparin sodium   
حقن   Piperacillin sodium / tazobactam 1,38/0,172 mg/ml
4°C
168 ساعة
لم يتم تحديد 4180
B مستوى الأدلة
البولي فينيل كلوريد Physionéal® 2.27 (Baxter) 1,4 UI/ml
حقن   Heparin sodium   
حقن   Piperacillin sodium / tazobactam 1,38/0,172 mg/ml
37°C
10 ساعة
لم يتم تحديد 4180
B مستوى الأدلة
البولي فينيل كلوريد Physionéal® 2.27 (Baxter) 1,4 UI/ml
حقن   Heparin sodium   
حقن   Piperacillin sodium / tazobactam 1,38/0,172 mg/ml
4°C
168 ساعة
لم يتم تحديد 4180
B مستوى الأدلة
البولي فينيل كلوريد Physionéal® 3.86 (Baxter) 1,4 UI/ml
حقن   Heparin sodium   
حقن   Piperacillin sodium / tazobactam 1,38/0,172 mg/ml
37°C
10 ساعة
لم يتم تحديد 4180
B مستوى الأدلة
البولي فينيل كلوريد Physionéal® 3.86 (Baxter) 1,4 UI/ml
حقن   Heparin sodium   
حقن   Piperacillin sodium / tazobactam 1,38/0,172 mg/ml
4°C
168 ساعة
لم يتم تحديد 4180
B مستوى الأدلة
البولي بروبلين كلوريد الصوديوم 0.9% 5000 UI/ml
حقن   Heparin sodium   
حقن   Vancomycin hydrochloride 0,1 mg/ml
4°C
28 يوم
لم يتم تحديد 3956
التحليل البيولوجي
البولي بروبلين كلوريد الصوديوم 0.9% 5000 UI/ml
حقن   Heparin sodium   
حقن   Gentamicin sulfate 0,1 mg/ml
4°C
28 يوم
لم يتم تحديد 3956
التحليل البيولوجي
محقنة البولي بروبلين كلوريد الصوديوم 0.9% 100 UI/ml
حقن   Heparin sodium   
حقن   Vancomycin hydrochloride 0,025 mg/ml
4°C
14 يوم
بعيدا عن الضوء 895
التحليل البيولوجي
محقنة البولي بروبلين محلول رينجر  اللاكتات 100 UI/ml
حقن   Heparin sodium   
حقن   Daptomycin 5 mg/ml
-20°C
14 يوم
بعيدا عن الضوء 3665
B مستوى الأدلة
محقنة البولي بروبلين محلول رينجر  اللاكتات 100 UI/ml
حقن   Heparin sodium   
حقن   Daptomycin 5 mg/ml
4°C
14 يوم
لم يتم تحديد 3665
B مستوى الأدلة
محقنة البولي بروبلين لا شيء 960 UI/ml
حقن   Heparin sodium   
حقن   Fluorouracil 24 mg/ml
37°C
7 يوم
لم يتم تحديد 163
B مستوى الأدلة
محقنة البولي بروبلين لا شيء 960 UI/ml
حقن   Heparin sodium   
حقن   Fluorouracil 24 mg/ml
4°C
14 يوم
بعيدا عن الضوء 163
B مستوى الأدلة
لم يتم تحديد كلوريد الصوديوم 0.9% 5000 UI/ml
حقن   Heparin sodium   
حقن   Daptomycin 19,6 mg/ml
22°C-28°C
2 ساعة
لم يتم تحديد 1937
C+ مستوى الأدلة

  Mentions Légales