Последнее обновление :
27/01/2026
Антикоагулянт   Heparin sodium  
Инъекция
Стабильность растворов Стабильность смесей Факторы, которые влияют на стабильность Совместимость Способы введения Библиография pdf
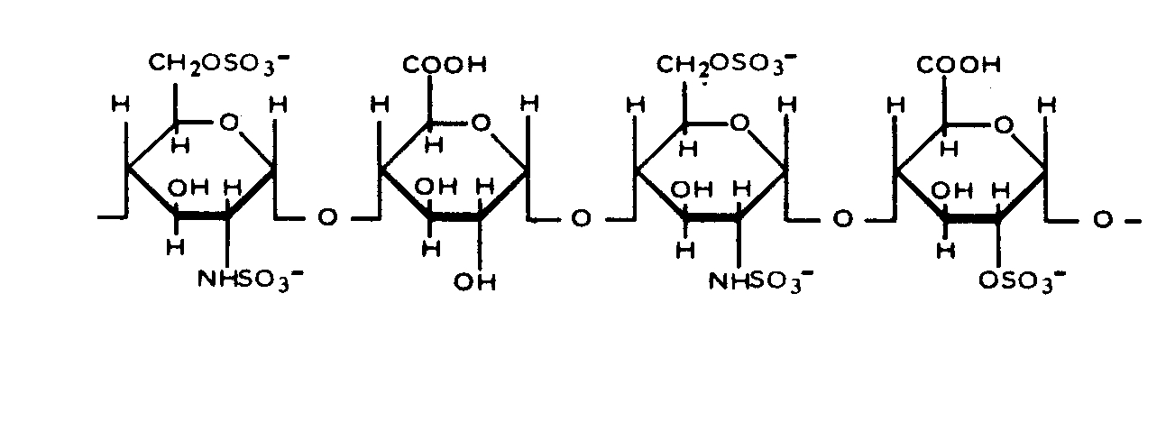
   Химическая структура  

Товарное название   Товарное название     

Trade names are indicative and excipients composition can be different depending on the country and manufacturers

Arapin чили
Ateroclar Италия
Clarisco Италия
Epsoclar Италия
Hepaflex Норвегия, Финляндия
Hepamax Колумбия, чили, Эквадор
Heparin Австрия, Великобритания, Венгрия, Голландия, Греция, Дания, Канада, Норвегия, Русский, Соединённые Штаты Америки, Таиланд, Турция, Финляндия, Швейцария, Швеция, Югославия, Южно-Африканская Республика
Heparine Бельгия, Франция
Heparinised Австралия
Heparstad Германия
Liquemin Турция, Швейцария
Liquemine Бразилия
Monoparin Саудовская Аравия
Normoparin Италия
Nuparin Эквадор
Pharepa Италия
Riveparin Аргентина
Sobrius Аргентина, Эквадор
Thrombophob Германия
Стабильность смесей   Инъекция   Стабильность смесей : Heparin sodium     
Упаковка Растворитель Концентрация Молекула Температура Хранение Продолжительность стабильности Ссылки
Стекло Натрия хлорид 0,9% 9,75 UI/ml
Инъекция   Heparin sodium   
Инъекция   Vancomycin hydrochloride 0,025 mg/ml
23°C
85 День
Не указано 3958
Биологический метод
Стекло Натрия хлорид 0,9% 50 UI/ml
Инъекция   Heparin sodium   
Инъекция   Magnesium sulfate 15,6 mg/ml
25°C
14 День
Свет 2100
Биологический метод
Стекло Натрия хлорид 0,9% 2500 UI/ml
Инъекция   Heparin sodium   
Инъекция   Telavancin hydrochloride 2 & 5 mg/ml
Инъекция   Sodium citrate 22 & 40 mg/ml
37°C
72 Час
Защищён от света 3327
Уровень доказательности D
Стекло Натрия хлорид 0,9% 2500 UI/ml
Инъекция   Heparin sodium   
Инъекция   Vancomycin hydrochloride 2 & 5 mg/ml
Инъекция   Sodium citrate 22 & 40 mg/ml
37°C
72 Час
Защищён от света 3327
Уровень доказательности D
Стекло Натрия хлорид 0,9% 100 UI/ml
Инъекция   Heparin sodium   
Инъекция   Vancomycin hydrochloride 0,025 mg/ml
4°C
63 День
Защищён от света 1414
Биологический метод
Стекло Натрия хлорид 0,9% 9,75 UI/ml
Инъекция   Heparin sodium   
Инъекция   Vancomycin hydrochloride 0,025 mg/ml
4°C
85 День
Не указано 3958
Биологический метод
Стекло Глюкоза 5% 59 UI/ml
Инъекция   Heparin sodium   
Инъекция   Milrinone lactate 0,2 mg/ml
22°C-23°C
4 Час
Свет 813
Уровень доказательности A
Стекло Глюкоза 5% 20 UI/ml
Инъекция   Heparin sodium   
Инъекция   Dopamine hydrochloride 0,8 mg/ml
23°C-25°C
24 Час
Свет 738
ДЖОКЕР
Стекло Глюкоза 5% 50 UI/ml
Инъекция   Heparin sodium   
Инъекция   Palonosetron hydrochloride 25 µg/ml
25°C
4 Час
Свет 2279
Уровень доказательности A +
Стекло Глюкоза 5% 100 UI/ml
Инъекция   Heparin sodium   
Инъекция   Fluconazole 1 mg/ml
25°C
24 Час
Свет 257
Уровень доказательности D
Поливинилхлорид Натрия хлорид 0,9% 20 & 50 UI/ml
Инъекция   Heparin sodium   
Инъекция   Tirofiban 25 µg/ml
25°C
4 Час
Свет 1420
Уровень доказательности C+
Поливинилхлорид Глюкоза 5% 50 UI/ml
Инъекция   Heparin sodium   
Инъекция   Flumazenil 0,02 mg/ml
23°C
24 Час
Свет 187
Уровень доказательности A
Поливинилхлорид Глюкоза 5% 20 & 50 UI/ml
Инъекция   Heparin sodium   
Инъекция   Tirofiban 25 µg/ml
25°C
4 Час
Свет 1420
Уровень доказательности C+
Поливинилхлорид Dianéal® PD1 1.5% Глюкоза (Baxter) 0,5 UI/ml
Инъекция   Heparin sodium   
Инъекция   Piperacillin sodium / tazobactam 0,5/0,0625 mg/ml
37°C
10 Час
Не указано 4180
Уровень доказательности B
Поливинилхлорид Dianéal® PD1 1.5% Глюкоза (Baxter) 0,5 UI/ml
Инъекция   Heparin sodium   
Инъекция   Meropenem 0,5 mg/ml
37°C
10 Час
Не указано 4180
Уровень доказательности B
Поливинилхлорид Dianéal® PD1 1.5% Глюкоза (Baxter) 0,5 UI/ml
Инъекция   Heparin sodium   
Инъекция   Piperacillin sodium / tazobactam 0,5/0,0625 mg/ml
4°C
168 Час
Не указано 4180
Уровень доказательности B
Поливинилхлорид Dianéal® PD1 1.5% Глюкоза (Baxter) 0,5 UI/ml
Инъекция   Heparin sodium   
Инъекция   Meropenem 0,5 mg/ml
4°C
168 Час
Не указано 4180
Уровень доказательности B
Поливинилхлорид Dianéal® PD2 4.25% Глюкоза (Baxter) 0,5 UI/ml
Инъекция   Heparin sodium   
Инъекция   Piperacillin sodium / tazobactam 0,5/0,0625 mg/ml
37°C
10 Час
Не указано 4180
Уровень доказательности B
Поливинилхлорид Dianéal® PD2 4.25% Глюкоза (Baxter) 0,5 UI/ml
Инъекция   Heparin sodium   
Инъекция   Meropenem 0,5 mg/ml
37°C
10 Час
Не указано 4180
Уровень доказательности B
Поливинилхлорид Dianéal® PD2 4.25% Глюкоза (Baxter) 0.5 UI/ml
Инъекция   Heparin sodium   
Инъекция   Ceftazidime 0.125 mg/ml
37°C
12 Час
Не указано 4056
Уровень доказательности B +
Поливинилхлорид Dianéal® PD2 4.25% Глюкоза (Baxter) 0.5 UI/ml
Инъекция   Heparin sodium   
Инъекция   Ceftazidime 0.125 mg/ml
4°C
120 Час
Не указано 4056
Уровень доказательности B +
Поливинилхлорид Dianéal® PD2 4.25% Глюкоза (Baxter) 0,5 UI/ml
Инъекция   Heparin sodium   
Инъекция   Piperacillin sodium / tazobactam 0,5/0,0625 mg/ml
4°C
168 Час
Не указано 4180
Уровень доказательности B
Поливинилхлорид Dianéal® PD2 4.25% Глюкоза (Baxter) 0,5 UI/ml
Инъекция   Heparin sodium   
Инъекция   Meropenem 0,5 mg/ml
4°C
168 Час
Не указано 4180
Уровень доказательности B
Поливинилхлорид Dianéal® PD2 2.5% glucose (Baxter) 0,5 UI/ml
Инъекция   Heparin sodium   
Инъекция   Piperacillin sodium / tazobactam 0,5/0,0625 mg/ml
37°C
10 Час
Не указано 4180
Уровень доказательности B
Поливинилхлорид Dianéal® PD2 2.5% glucose (Baxter) 0,5 UI/ml
Инъекция   Heparin sodium   
Инъекция   Meropenem 0,5 mg/ml
37°C
10 Час
Не указано 4180
Уровень доказательности B
Поливинилхлорид Dianéal® PD2 2.5% glucose (Baxter) 0.5 UI/ml
Инъекция   Heparin sodium   
Инъекция   Ceftazidime 0.125 mg/ml
37°C
12 Час
Не указано 4056
Уровень доказательности B +
Поливинилхлорид Dianéal® PD2 2.5% glucose (Baxter) 0.5 UI/ml
Инъекция   Heparin sodium   
Инъекция   Ceftazidime 0.125 mg/ml
4°C
120 Час
Не указано 4056
Уровень доказательности B +
Поливинилхлорид Dianéal® PD2 2.5% glucose (Baxter) 0,5 UI/ml
Инъекция   Heparin sodium   
Инъекция   Piperacillin sodium / tazobactam 0,5/0,0625 mg/ml
4°C
168 Час
Не указано 4180
Уровень доказательности B
Поливинилхлорид Dianéal® PD2 2.5% glucose (Baxter) 0,5 UI/ml
Инъекция   Heparin sodium   
Инъекция   Meropenem 0,5 mg/ml
4°C
168 Час
Не указано 4180
Уровень доказательности B
Поливинилхлорид Extraneal® (Baxter) 0,5 UI/ml
Инъекция   Heparin sodium   
Инъекция   Piperacillin sodium / tazobactam 0,5/0,0625 mg/ml
37°C
10 Час
Не указано 4180
Уровень доказательности B
Поливинилхлорид Extraneal® (Baxter) 0,5 UI/ml
Инъекция   Heparin sodium   
Инъекция   Meropenem 0,5 mg/ml
37°C
10 Час
Не указано 4180
Уровень доказательности B
Поливинилхлорид Extraneal® (Baxter) 0.5 UI/ml
Инъекция   Heparin sodium   
Инъекция   Ceftazidime 0.125 mg/ml
37°C
12 Час
Не указано 4056
Уровень доказательности B +
Поливинилхлорид Extraneal® (Baxter) 0.5 UI/ml
Инъекция   Heparin sodium   
Инъекция   Ceftazidime 0.125 mg/ml
4°C
120 Час
Не указано 4056
Уровень доказательности B +
Поливинилхлорид Extraneal® (Baxter) 0,5 UI/ml
Инъекция   Heparin sodium   
Инъекция   Piperacillin sodium / tazobactam 0,5/0,0625 mg/ml
4°C
168 Час
Не указано 4180
Уровень доказательности B
Поливинилхлорид Extraneal® (Baxter) 0,5 UI/ml
Инъекция   Heparin sodium   
Инъекция   Meropenem 0,5 mg/ml
4°C
168 Час
Не указано 4180
Уровень доказательности B
Поливинилхлорид Physionéal® 1.36 (Baxter) 1,4 UI/ml
Инъекция   Heparin sodium   
Инъекция   Piperacillin sodium / tazobactam 1,38/0,172 mg/ml
37°C
10 Час
Не указано 4180
Уровень доказательности B
Поливинилхлорид Physionéal® 1.36 (Baxter) 1,4 UI/ml
Инъекция   Heparin sodium   
Инъекция   Piperacillin sodium / tazobactam 1,38/0,172 mg/ml
4°C
168 Час
Не указано 4180
Уровень доказательности B
Поливинилхлорид Physionéal® 2.27 (Baxter) 1,4 UI/ml
Инъекция   Heparin sodium   
Инъекция   Piperacillin sodium / tazobactam 1,38/0,172 mg/ml
37°C
10 Час
Не указано 4180
Уровень доказательности B
Поливинилхлорид Physionéal® 2.27 (Baxter) 1,4 UI/ml
Инъекция   Heparin sodium   
Инъекция   Piperacillin sodium / tazobactam 1,38/0,172 mg/ml
4°C
168 Час
Не указано 4180
Уровень доказательности B
Поливинилхлорид Physionéal® 3.86 (Baxter) 1,4 UI/ml
Инъекция   Heparin sodium   
Инъекция   Piperacillin sodium / tazobactam 1,38/0,172 mg/ml
37°C
10 Час
Не указано 4180
Уровень доказательности B
Поливинилхлорид Physionéal® 3.86 (Baxter) 1,4 UI/ml
Инъекция   Heparin sodium   
Инъекция   Piperacillin sodium / tazobactam 1,38/0,172 mg/ml
4°C
168 Час
Не указано 4180
Уровень доказательности B
Полипропилен Натрия хлорид 0,9% 5000 UI/ml
Инъекция   Heparin sodium   
Инъекция   Vancomycin hydrochloride 0,1 mg/ml
4°C
28 День
Не указано 3956
Биологический метод
Полипропилен Натрия хлорид 0,9% 5000 UI/ml
Инъекция   Heparin sodium   
Инъекция   Gentamicin sulfate 0,1 mg/ml
4°C
28 День
Не указано 3956
Биологический метод
Шприц полипропилен Натрия хлорид 0,9% 100 UI/ml
Инъекция   Heparin sodium   
Инъекция   Vancomycin hydrochloride 0,025 mg/ml
4°C
14 День
Защищён от света 895
Биологический метод
Шприц полипропилен Раствор Рингера лактата 100 UI/ml
Инъекция   Heparin sodium   
Инъекция   Daptomycin 5 mg/ml
-20°C
14 День
Защищён от света 3665
Уровень доказательности B
Шприц полипропилен Раствор Рингера лактата 100 UI/ml
Инъекция   Heparin sodium   
Инъекция   Daptomycin 5 mg/ml
4°C
14 День
Не указано 3665
Уровень доказательности B
Шприц полипропилен Нет 960 UI/ml
Инъекция   Heparin sodium   
Инъекция   Fluorouracil 24 mg/ml
37°C
7 День
Не указано 163
Уровень доказательности B
Шприц полипропилен Нет 960 UI/ml
Инъекция   Heparin sodium   
Инъекция   Fluorouracil 24 mg/ml
4°C
14 День
Защищён от света 163
Уровень доказательности B
Не указано Натрия хлорид 0,9% 5000 UI/ml
Инъекция   Heparin sodium   
Инъекция   Daptomycin 19,6 mg/ml
22°C-28°C
2 Час
Не указано 1937
Уровень доказательности C+

  Mentions Légales