Senaste uppdateringen :
27/01/2026
Antikoagulans   Heparin sodium  
injektion
Lösningars stabilitet Stabilitet i blandningar Faktorer som påverkar stabiliteten Kompatibilitet Administreringssätt Hänvisningar pdf
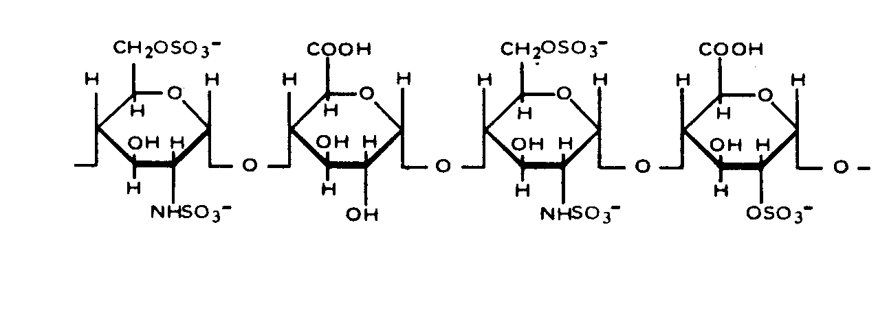
   Molekylstruktur  

Varunamn   Varunamn     

Angivna handelsnamn på läkemedel är enbart vägledande då formulering inklusive hjälpämnen kan variera mellan länder och tillverkare

Arapin Chile
Ateroclar Italien
Clarisco Italien
Epsoclar Italien
Hepaflex Finland, Norge
Hepamax Chile, Colombia, Ecuador
Heparin Danmark, Finland, Förenta Staterna, Grekland, Jugoslavien, Kanada, Nederländerna, Norge, Österrike, ryska, Schweiz, Storbritannien, Sverige, Sydafrikanska republiken, Thailand, Turkiet, Ungern
Heparine Belgien, Frankrike
Heparinised Australien
Heparstad Tyskland
Liquemin Schweiz, Turkiet
Liquemine Brasilien
Monoparin Saudi-Arabien
Normoparin Italien
Nuparin Ecuador
Pharepa Italien
Riveparin Argentina
Sobrius Argentina, Ecuador
Thrombophob Tyskland
Stabilitet i blandningar   injektion   Stabilitet i blandningar : Heparin sodium     
Behållare Lösningsmedel Koncentration Substans Temperatur Förvaring Stabilitets varaktighet Hänvisningar
Glas Natriumklorid 0,9 % 9,75 UI/ml
injektion   Heparin sodium   
injektion   Vancomycin hydrochloride 0,025 mg/ml
23°C
85 Dag
Ej angiven 3958
Biologisk analys
Glas Natriumklorid 0,9 % 50 UI/ml
injektion   Heparin sodium   
injektion   Magnesium sulfate 15,6 mg/ml
25°C
14 Dag
Ljus 2100
Biologisk analys
Glas Natriumklorid 0,9 % 2500 UI/ml
injektion   Heparin sodium   
injektion   Telavancin hydrochloride 2 & 5 mg/ml
injektion   Sodium citrate 22 & 40 mg/ml
37°C
72 Timma
Skyddas från ljus 3327
Evidensnivå D
Glas Natriumklorid 0,9 % 2500 UI/ml
injektion   Heparin sodium   
injektion   Vancomycin hydrochloride 2 & 5 mg/ml
injektion   Sodium citrate 22 & 40 mg/ml
37°C
72 Timma
Skyddas från ljus 3327
Evidensnivå D
Glas Natriumklorid 0,9 % 100 UI/ml
injektion   Heparin sodium   
injektion   Vancomycin hydrochloride 0,025 mg/ml
4°C
63 Dag
Skyddas från ljus 1414
Biologisk analys
Glas Natriumklorid 0,9 % 9,75 UI/ml
injektion   Heparin sodium   
injektion   Vancomycin hydrochloride 0,025 mg/ml
4°C
85 Dag
Ej angiven 3958
Biologisk analys
Glas Glukos 5 % 59 UI/ml
injektion   Heparin sodium   
injektion   Milrinone lactate 0,2 mg/ml
22°C-23°C
4 Timma
Ljus 813
Evidensnivå A
Glas Glukos 5 % 20 UI/ml
injektion   Heparin sodium   
injektion   Dopamine hydrochloride 0,8 mg/ml
23°C-25°C
24 Timma
Ljus 738
Joker
Glas Glukos 5 % 50 UI/ml
injektion   Heparin sodium   
injektion   Palonosetron hydrochloride 25 µg/ml
25°C
4 Timma
Ljus 2279
Evidensnivå A+
Glas Glukos 5 % 100 UI/ml
injektion   Heparin sodium   
injektion   Fluconazole 1 mg/ml
25°C
24 Timma
Ljus 257
Evidensnivå D
Polyvinylklorid Natriumklorid 0,9 % 20 & 50 UI/ml
injektion   Heparin sodium   
injektion   Tirofiban 25 µg/ml
25°C
4 Timma
Ljus 1420
Evidensnivå C+
Polyvinylklorid Glukos 5 % 50 UI/ml
injektion   Heparin sodium   
injektion   Flumazenil 0,02 mg/ml
23°C
24 Timma
Ljus 187
Evidensnivå A
Polyvinylklorid Glukos 5 % 20 & 50 UI/ml
injektion   Heparin sodium   
injektion   Tirofiban 25 µg/ml
25°C
4 Timma
Ljus 1420
Evidensnivå C+
Polyvinylklorid Dianéal® PD1 1.5% Glukos (Baxter) 0,5 UI/ml
injektion   Heparin sodium   
injektion   Piperacillin sodium / tazobactam 0,5/0,0625 mg/ml
37°C
10 Timma
Ej angiven 4180
Evidensnivå B
Polyvinylklorid Dianéal® PD1 1.5% Glukos (Baxter) 0,5 UI/ml
injektion   Heparin sodium   
injektion   Meropenem 0,5 mg/ml
37°C
10 Timma
Ej angiven 4180
Evidensnivå B
Polyvinylklorid Dianéal® PD1 1.5% Glukos (Baxter) 0,5 UI/ml
injektion   Heparin sodium   
injektion   Piperacillin sodium / tazobactam 0,5/0,0625 mg/ml
4°C
168 Timma
Ej angiven 4180
Evidensnivå B
Polyvinylklorid Dianéal® PD1 1.5% Glukos (Baxter) 0,5 UI/ml
injektion   Heparin sodium   
injektion   Meropenem 0,5 mg/ml
4°C
168 Timma
Ej angiven 4180
Evidensnivå B
Polyvinylklorid Dianéal® PD2 4.25% Glukos (Baxter) 0,5 UI/ml
injektion   Heparin sodium   
injektion   Piperacillin sodium / tazobactam 0,5/0,0625 mg/ml
37°C
10 Timma
Ej angiven 4180
Evidensnivå B
Polyvinylklorid Dianéal® PD2 4.25% Glukos (Baxter) 0,5 UI/ml
injektion   Heparin sodium   
injektion   Meropenem 0,5 mg/ml
37°C
10 Timma
Ej angiven 4180
Evidensnivå B
Polyvinylklorid Dianéal® PD2 4.25% Glukos (Baxter) 0.5 UI/ml
injektion   Heparin sodium   
injektion   Ceftazidime 0.125 mg/ml
37°C
12 Timma
Ej angiven 4056
Evidensnivå B+
Polyvinylklorid Dianéal® PD2 4.25% Glukos (Baxter) 0.5 UI/ml
injektion   Heparin sodium   
injektion   Ceftazidime 0.125 mg/ml
4°C
120 Timma
Ej angiven 4056
Evidensnivå B+
Polyvinylklorid Dianéal® PD2 4.25% Glukos (Baxter) 0,5 UI/ml
injektion   Heparin sodium   
injektion   Piperacillin sodium / tazobactam 0,5/0,0625 mg/ml
4°C
168 Timma
Ej angiven 4180
Evidensnivå B
Polyvinylklorid Dianéal® PD2 4.25% Glukos (Baxter) 0,5 UI/ml
injektion   Heparin sodium   
injektion   Meropenem 0,5 mg/ml
4°C
168 Timma
Ej angiven 4180
Evidensnivå B
Polyvinylklorid Dianéal® PD2 2.5% glucose (Baxter) 0,5 UI/ml
injektion   Heparin sodium   
injektion   Piperacillin sodium / tazobactam 0,5/0,0625 mg/ml
37°C
10 Timma
Ej angiven 4180
Evidensnivå B
Polyvinylklorid Dianéal® PD2 2.5% glucose (Baxter) 0,5 UI/ml
injektion   Heparin sodium   
injektion   Meropenem 0,5 mg/ml
37°C
10 Timma
Ej angiven 4180
Evidensnivå B
Polyvinylklorid Dianéal® PD2 2.5% glucose (Baxter) 0.5 UI/ml
injektion   Heparin sodium   
injektion   Ceftazidime 0.125 mg/ml
37°C
12 Timma
Ej angiven 4056
Evidensnivå B+
Polyvinylklorid Dianéal® PD2 2.5% glucose (Baxter) 0.5 UI/ml
injektion   Heparin sodium   
injektion   Ceftazidime 0.125 mg/ml
4°C
120 Timma
Ej angiven 4056
Evidensnivå B+
Polyvinylklorid Dianéal® PD2 2.5% glucose (Baxter) 0,5 UI/ml
injektion   Heparin sodium   
injektion   Piperacillin sodium / tazobactam 0,5/0,0625 mg/ml
4°C
168 Timma
Ej angiven 4180
Evidensnivå B
Polyvinylklorid Dianéal® PD2 2.5% glucose (Baxter) 0,5 UI/ml
injektion   Heparin sodium   
injektion   Meropenem 0,5 mg/ml
4°C
168 Timma
Ej angiven 4180
Evidensnivå B
Polyvinylklorid Extraneal® (Baxter) 0,5 UI/ml
injektion   Heparin sodium   
injektion   Piperacillin sodium / tazobactam 0,5/0,0625 mg/ml
37°C
10 Timma
Ej angiven 4180
Evidensnivå B
Polyvinylklorid Extraneal® (Baxter) 0,5 UI/ml
injektion   Heparin sodium   
injektion   Meropenem 0,5 mg/ml
37°C
10 Timma
Ej angiven 4180
Evidensnivå B
Polyvinylklorid Extraneal® (Baxter) 0.5 UI/ml
injektion   Heparin sodium   
injektion   Ceftazidime 0.125 mg/ml
37°C
12 Timma
Ej angiven 4056
Evidensnivå B+
Polyvinylklorid Extraneal® (Baxter) 0.5 UI/ml
injektion   Heparin sodium   
injektion   Ceftazidime 0.125 mg/ml
4°C
120 Timma
Ej angiven 4056
Evidensnivå B+
Polyvinylklorid Extraneal® (Baxter) 0,5 UI/ml
injektion   Heparin sodium   
injektion   Piperacillin sodium / tazobactam 0,5/0,0625 mg/ml
4°C
168 Timma
Ej angiven 4180
Evidensnivå B
Polyvinylklorid Extraneal® (Baxter) 0,5 UI/ml
injektion   Heparin sodium   
injektion   Meropenem 0,5 mg/ml
4°C
168 Timma
Ej angiven 4180
Evidensnivå B
Polyvinylklorid Physionéal® 1.36 (Baxter) 1,4 UI/ml
injektion   Heparin sodium   
injektion   Piperacillin sodium / tazobactam 1,38/0,172 mg/ml
37°C
10 Timma
Ej angiven 4180
Evidensnivå B
Polyvinylklorid Physionéal® 1.36 (Baxter) 1,4 UI/ml
injektion   Heparin sodium   
injektion   Piperacillin sodium / tazobactam 1,38/0,172 mg/ml
4°C
168 Timma
Ej angiven 4180
Evidensnivå B
Polyvinylklorid Physionéal® 2.27 (Baxter) 1,4 UI/ml
injektion   Heparin sodium   
injektion   Piperacillin sodium / tazobactam 1,38/0,172 mg/ml
37°C
10 Timma
Ej angiven 4180
Evidensnivå B
Polyvinylklorid Physionéal® 2.27 (Baxter) 1,4 UI/ml
injektion   Heparin sodium   
injektion   Piperacillin sodium / tazobactam 1,38/0,172 mg/ml
4°C
168 Timma
Ej angiven 4180
Evidensnivå B
Polyvinylklorid Physionéal® 3.86 (Baxter) 1,4 UI/ml
injektion   Heparin sodium   
injektion   Piperacillin sodium / tazobactam 1,38/0,172 mg/ml
37°C
10 Timma
Ej angiven 4180
Evidensnivå B
Polyvinylklorid Physionéal® 3.86 (Baxter) 1,4 UI/ml
injektion   Heparin sodium   
injektion   Piperacillin sodium / tazobactam 1,38/0,172 mg/ml
4°C
168 Timma
Ej angiven 4180
Evidensnivå B
Polypropylen Natriumklorid 0,9 % 5000 UI/ml
injektion   Heparin sodium   
injektion   Vancomycin hydrochloride 0,1 mg/ml
4°C
28 Dag
Ej angiven 3956
Biologisk analys
Polypropylen Natriumklorid 0,9 % 5000 UI/ml
injektion   Heparin sodium   
injektion   Gentamicin sulfate 0,1 mg/ml
4°C
28 Dag
Ej angiven 3956
Biologisk analys
Spruta polypropen Natriumklorid 0,9 % 100 UI/ml
injektion   Heparin sodium   
injektion   Vancomycin hydrochloride 0,025 mg/ml
4°C
14 Dag
Skyddas från ljus 895
Biologisk analys
Spruta polypropen Ringer-laktatlösning 100 UI/ml
injektion   Heparin sodium   
injektion   Daptomycin 5 mg/ml
-20°C
14 Dag
Skyddas från ljus 3665
Evidensnivå B
Spruta polypropen Ringer-laktatlösning 100 UI/ml
injektion   Heparin sodium   
injektion   Daptomycin 5 mg/ml
4°C
14 Dag
Ej angiven 3665
Evidensnivå B
Spruta polypropen Ingen 960 UI/ml
injektion   Heparin sodium   
injektion   Fluorouracil 24 mg/ml
37°C
7 Dag
Ej angiven 163
Evidensnivå B
Spruta polypropen Ingen 960 UI/ml
injektion   Heparin sodium   
injektion   Fluorouracil 24 mg/ml
4°C
14 Dag
Skyddas från ljus 163
Evidensnivå B
Ej angiven Natriumklorid 0,9 % 5000 UI/ml
injektion   Heparin sodium   
injektion   Daptomycin 19,6 mg/ml
22°C-28°C
2 Timma
Ej angiven 1937
Evidensnivå C+

  Mentions Légales