Posledná aktualizácia :
27/01/2026
antikoagulans   Heparin sodium  
Injekcia
Stabilita roztokov Stabilita v zmesiach Faktory ovplyvňujúce stabilitu Kompatibility spôsob podania Odkazy na literatúru PDF
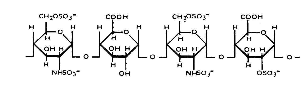
   Chemický vzorec  

Obchodný názov   Obchodný názov     

Obchodné názvy sú orientačné, a zloženie pomocných látok sa môže líšiť v závislosti od krajiny a výrobcu.

Arapin Čile
Ateroclar Taliansko
Clarisco Taliansko
Epsoclar Taliansko
Hepaflex Fínsko, Nórsko
Hepamax Čile, Ekvádor, Kolumbia
Heparin Dánsko, Fínsko, Grécko, Holandsko, Juhoafrická republika, Juhoslávia, Kanada, Maďarsko, Nórsko, Rakúsko, ruský, Spojené štáty Americké, Švajčiarsko, Švédsko, Thajsko, Turecko, Veľká Británia
Heparine Belgicko, Francúzsko
Heparinised Austrália
Heparstad Nemecko
Liquemin Švajčiarsko, Turecko
Liquemine Brazília
Monoparin Saudská Arábia
Normoparin Taliansko
Nuparin Ekvádor
Pharepa Taliansko
Riveparin Argentína
Sobrius Argentína, Ekvádor
Thrombophob Nemecko
Stabilita v zmesiach   Injekcia   Stabilita v zmesiach : Heparin sodium     
obal rozpúšťadlo koncentrácia Zlúčenina teplota uchovávanie Trvanie stability odkazy na lieteratúru
Sklo 0,9% chlorid sodný 9,75 UI/ml
Injekcia   Heparin sodium   
Injekcia   Vancomycin hydrochloride 0,025 mg/ml
23°C
85 dní
nešpecifikované 3958
biologická analýza
Sklo 0,9% chlorid sodný 50 UI/ml
Injekcia   Heparin sodium   
Injekcia   Magnesium sulfate 15,6 mg/ml
25°C
14 dní
Za svetla 2100
biologická analýza
Sklo 0,9% chlorid sodný 2500 UI/ml
Injekcia   Heparin sodium   
Injekcia   Telavancin hydrochloride 2 & 5 mg/ml
Injekcia   Sodium citrate 22 & 40 mg/ml
37°C
72 hodín
Chránené pred svetlom 3327
Úroveň dôkazov D
Sklo 0,9% chlorid sodný 2500 UI/ml
Injekcia   Heparin sodium   
Injekcia   Vancomycin hydrochloride 2 & 5 mg/ml
Injekcia   Sodium citrate 22 & 40 mg/ml
37°C
72 hodín
Chránené pred svetlom 3327
Úroveň dôkazov D
Sklo 0,9% chlorid sodný 100 UI/ml
Injekcia   Heparin sodium   
Injekcia   Vancomycin hydrochloride 0,025 mg/ml
4°C
63 dní
Chránené pred svetlom 1414
biologická analýza
Sklo 0,9% chlorid sodný 9,75 UI/ml
Injekcia   Heparin sodium   
Injekcia   Vancomycin hydrochloride 0,025 mg/ml
4°C
85 dní
nešpecifikované 3958
biologická analýza
Sklo 5% glukóza 59 UI/ml
Injekcia   Heparin sodium   
Injekcia   Milrinone lactate 0,2 mg/ml
22°C-23°C
4 hodín
Za svetla 813
Úroveň dôkazov A
Sklo 5% glukóza 20 UI/ml
Injekcia   Heparin sodium   
Injekcia   Dopamine hydrochloride 0,8 mg/ml
23°C-25°C
24 hodín
Za svetla 738
Žolík (rôzne)
Sklo 5% glukóza 50 UI/ml
Injekcia   Heparin sodium   
Injekcia   Palonosetron hydrochloride 25 µg/ml
25°C
4 hodín
Za svetla 2279
Úroveň dôkazov A+
Sklo 5% glukóza 100 UI/ml
Injekcia   Heparin sodium   
Injekcia   Fluconazole 1 mg/ml
25°C
24 hodín
Za svetla 257
Úroveň dôkazov D
polyvinylchlorid (PVC) 0,9% chlorid sodný 20 & 50 UI/ml
Injekcia   Heparin sodium   
Injekcia   Tirofiban 25 µg/ml
25°C
4 hodín
Za svetla 1420
Úroveň dôkazov C+
polyvinylchlorid (PVC) 5% glukóza 50 UI/ml
Injekcia   Heparin sodium   
Injekcia   Flumazenil 0,02 mg/ml
23°C
24 hodín
Za svetla 187
Úroveň dôkazov A
polyvinylchlorid (PVC) 5% glukóza 20 & 50 UI/ml
Injekcia   Heparin sodium   
Injekcia   Tirofiban 25 µg/ml
25°C
4 hodín
Za svetla 1420
Úroveň dôkazov C+
polyvinylchlorid (PVC) Dianéal® PD1 1.5% glukóza (Baxter) 0,5 UI/ml
Injekcia   Heparin sodium   
Injekcia   Piperacillin sodium / tazobactam 0,5/0,0625 mg/ml
37°C
10 hodín
nešpecifikované 4180
Úroveň dôkazov B
polyvinylchlorid (PVC) Dianéal® PD1 1.5% glukóza (Baxter) 0,5 UI/ml
Injekcia   Heparin sodium   
Injekcia   Meropenem 0,5 mg/ml
37°C
10 hodín
nešpecifikované 4180
Úroveň dôkazov B
polyvinylchlorid (PVC) Dianéal® PD1 1.5% glukóza (Baxter) 0,5 UI/ml
Injekcia   Heparin sodium   
Injekcia   Piperacillin sodium / tazobactam 0,5/0,0625 mg/ml
4°C
168 hodín
nešpecifikované 4180
Úroveň dôkazov B
polyvinylchlorid (PVC) Dianéal® PD1 1.5% glukóza (Baxter) 0,5 UI/ml
Injekcia   Heparin sodium   
Injekcia   Meropenem 0,5 mg/ml
4°C
168 hodín
nešpecifikované 4180
Úroveň dôkazov B
polyvinylchlorid (PVC) Dianéal® PD2 4.25% glukóza (Baxter) 0,5 UI/ml
Injekcia   Heparin sodium   
Injekcia   Piperacillin sodium / tazobactam 0,5/0,0625 mg/ml
37°C
10 hodín
nešpecifikované 4180
Úroveň dôkazov B
polyvinylchlorid (PVC) Dianéal® PD2 4.25% glukóza (Baxter) 0,5 UI/ml
Injekcia   Heparin sodium   
Injekcia   Meropenem 0,5 mg/ml
37°C
10 hodín
nešpecifikované 4180
Úroveň dôkazov B
polyvinylchlorid (PVC) Dianéal® PD2 4.25% glukóza (Baxter) 0.5 UI/ml
Injekcia   Heparin sodium   
Injekcia   Ceftazidime 0.125 mg/ml
37°C
12 hodín
nešpecifikované 4056
Úroveň dôkazov B+
polyvinylchlorid (PVC) Dianéal® PD2 4.25% glukóza (Baxter) 0.5 UI/ml
Injekcia   Heparin sodium   
Injekcia   Ceftazidime 0.125 mg/ml
4°C
120 hodín
nešpecifikované 4056
Úroveň dôkazov B+
polyvinylchlorid (PVC) Dianéal® PD2 4.25% glukóza (Baxter) 0,5 UI/ml
Injekcia   Heparin sodium   
Injekcia   Piperacillin sodium / tazobactam 0,5/0,0625 mg/ml
4°C
168 hodín
nešpecifikované 4180
Úroveň dôkazov B
polyvinylchlorid (PVC) Dianéal® PD2 4.25% glukóza (Baxter) 0,5 UI/ml
Injekcia   Heparin sodium   
Injekcia   Meropenem 0,5 mg/ml
4°C
168 hodín
nešpecifikované 4180
Úroveň dôkazov B
polyvinylchlorid (PVC) Dianéal® PD2 2.5% glucose (Baxter) 0,5 UI/ml
Injekcia   Heparin sodium   
Injekcia   Piperacillin sodium / tazobactam 0,5/0,0625 mg/ml
37°C
10 hodín
nešpecifikované 4180
Úroveň dôkazov B
polyvinylchlorid (PVC) Dianéal® PD2 2.5% glucose (Baxter) 0,5 UI/ml
Injekcia   Heparin sodium   
Injekcia   Meropenem 0,5 mg/ml
37°C
10 hodín
nešpecifikované 4180
Úroveň dôkazov B
polyvinylchlorid (PVC) Dianéal® PD2 2.5% glucose (Baxter) 0.5 UI/ml
Injekcia   Heparin sodium   
Injekcia   Ceftazidime 0.125 mg/ml
37°C
12 hodín
nešpecifikované 4056
Úroveň dôkazov B+
polyvinylchlorid (PVC) Dianéal® PD2 2.5% glucose (Baxter) 0.5 UI/ml
Injekcia   Heparin sodium   
Injekcia   Ceftazidime 0.125 mg/ml
4°C
120 hodín
nešpecifikované 4056
Úroveň dôkazov B+
polyvinylchlorid (PVC) Dianéal® PD2 2.5% glucose (Baxter) 0,5 UI/ml
Injekcia   Heparin sodium   
Injekcia   Piperacillin sodium / tazobactam 0,5/0,0625 mg/ml
4°C
168 hodín
nešpecifikované 4180
Úroveň dôkazov B
polyvinylchlorid (PVC) Dianéal® PD2 2.5% glucose (Baxter) 0,5 UI/ml
Injekcia   Heparin sodium   
Injekcia   Meropenem 0,5 mg/ml
4°C
168 hodín
nešpecifikované 4180
Úroveň dôkazov B
polyvinylchlorid (PVC) Extraneal® (Baxter) 0,5 UI/ml
Injekcia   Heparin sodium   
Injekcia   Piperacillin sodium / tazobactam 0,5/0,0625 mg/ml
37°C
10 hodín
nešpecifikované 4180
Úroveň dôkazov B
polyvinylchlorid (PVC) Extraneal® (Baxter) 0,5 UI/ml
Injekcia   Heparin sodium   
Injekcia   Meropenem 0,5 mg/ml
37°C
10 hodín
nešpecifikované 4180
Úroveň dôkazov B
polyvinylchlorid (PVC) Extraneal® (Baxter) 0.5 UI/ml
Injekcia   Heparin sodium   
Injekcia   Ceftazidime 0.125 mg/ml
37°C
12 hodín
nešpecifikované 4056
Úroveň dôkazov B+
polyvinylchlorid (PVC) Extraneal® (Baxter) 0.5 UI/ml
Injekcia   Heparin sodium   
Injekcia   Ceftazidime 0.125 mg/ml
4°C
120 hodín
nešpecifikované 4056
Úroveň dôkazov B+
polyvinylchlorid (PVC) Extraneal® (Baxter) 0,5 UI/ml
Injekcia   Heparin sodium   
Injekcia   Piperacillin sodium / tazobactam 0,5/0,0625 mg/ml
4°C
168 hodín
nešpecifikované 4180
Úroveň dôkazov B
polyvinylchlorid (PVC) Extraneal® (Baxter) 0,5 UI/ml
Injekcia   Heparin sodium   
Injekcia   Meropenem 0,5 mg/ml
4°C
168 hodín
nešpecifikované 4180
Úroveň dôkazov B
polyvinylchlorid (PVC) Physionéal® 1.36 (Baxter) 1,4 UI/ml
Injekcia   Heparin sodium   
Injekcia   Piperacillin sodium / tazobactam 1,38/0,172 mg/ml
37°C
10 hodín
nešpecifikované 4180
Úroveň dôkazov B
polyvinylchlorid (PVC) Physionéal® 1.36 (Baxter) 1,4 UI/ml
Injekcia   Heparin sodium   
Injekcia   Piperacillin sodium / tazobactam 1,38/0,172 mg/ml
4°C
168 hodín
nešpecifikované 4180
Úroveň dôkazov B
polyvinylchlorid (PVC) Physionéal® 2.27 (Baxter) 1,4 UI/ml
Injekcia   Heparin sodium   
Injekcia   Piperacillin sodium / tazobactam 1,38/0,172 mg/ml
37°C
10 hodín
nešpecifikované 4180
Úroveň dôkazov B
polyvinylchlorid (PVC) Physionéal® 2.27 (Baxter) 1,4 UI/ml
Injekcia   Heparin sodium   
Injekcia   Piperacillin sodium / tazobactam 1,38/0,172 mg/ml
4°C
168 hodín
nešpecifikované 4180
Úroveň dôkazov B
polyvinylchlorid (PVC) Physionéal® 3.86 (Baxter) 1,4 UI/ml
Injekcia   Heparin sodium   
Injekcia   Piperacillin sodium / tazobactam 1,38/0,172 mg/ml
37°C
10 hodín
nešpecifikované 4180
Úroveň dôkazov B
polyvinylchlorid (PVC) Physionéal® 3.86 (Baxter) 1,4 UI/ml
Injekcia   Heparin sodium   
Injekcia   Piperacillin sodium / tazobactam 1,38/0,172 mg/ml
4°C
168 hodín
nešpecifikované 4180
Úroveň dôkazov B
polypropylén 0,9% chlorid sodný 5000 UI/ml
Injekcia   Heparin sodium   
Injekcia   Vancomycin hydrochloride 0,1 mg/ml
4°C
28 dní
nešpecifikované 3956
biologická analýza
polypropylén 0,9% chlorid sodný 5000 UI/ml
Injekcia   Heparin sodium   
Injekcia   Gentamicin sulfate 0,1 mg/ml
4°C
28 dní
nešpecifikované 3956
biologická analýza
Injekčná striekačka polypropylén 0,9% chlorid sodný 100 UI/ml
Injekcia   Heparin sodium   
Injekcia   Vancomycin hydrochloride 0,025 mg/ml
4°C
14 dní
Chránené pred svetlom 895
biologická analýza
Injekčná striekačka polypropylén Ringerov laktátový roztok 100 UI/ml
Injekcia   Heparin sodium   
Injekcia   Daptomycin 5 mg/ml
-20°C
14 dní
Chránené pred svetlom 3665
Úroveň dôkazov B
Injekčná striekačka polypropylén Ringerov laktátový roztok 100 UI/ml
Injekcia   Heparin sodium   
Injekcia   Daptomycin 5 mg/ml
4°C
14 dní
nešpecifikované 3665
Úroveň dôkazov B
Injekčná striekačka polypropylén Žiadny 960 UI/ml
Injekcia   Heparin sodium   
Injekcia   Fluorouracil 24 mg/ml
37°C
7 dní
nešpecifikované 163
Úroveň dôkazov B
Injekčná striekačka polypropylén Žiadny 960 UI/ml
Injekcia   Heparin sodium   
Injekcia   Fluorouracil 24 mg/ml
4°C
14 dní
Chránené pred svetlom 163
Úroveň dôkazov B
nešpecifikované 0,9% chlorid sodný 5000 UI/ml
Injekcia   Heparin sodium   
Injekcia   Daptomycin 19,6 mg/ml
22°C-28°C
2 hodín
nešpecifikované 1937
Úroveň dôkazov C+

  Mentions Légales