viimane versioon :
27/01/2026
antikoagulant   Heparin sodium  
Süsteravim
Stabiilsus lahustes Stabiilsust mõjutavad tegurid stabiilsust mõjutavad faktorid Sobimatus Manustamis viis Viited pdf
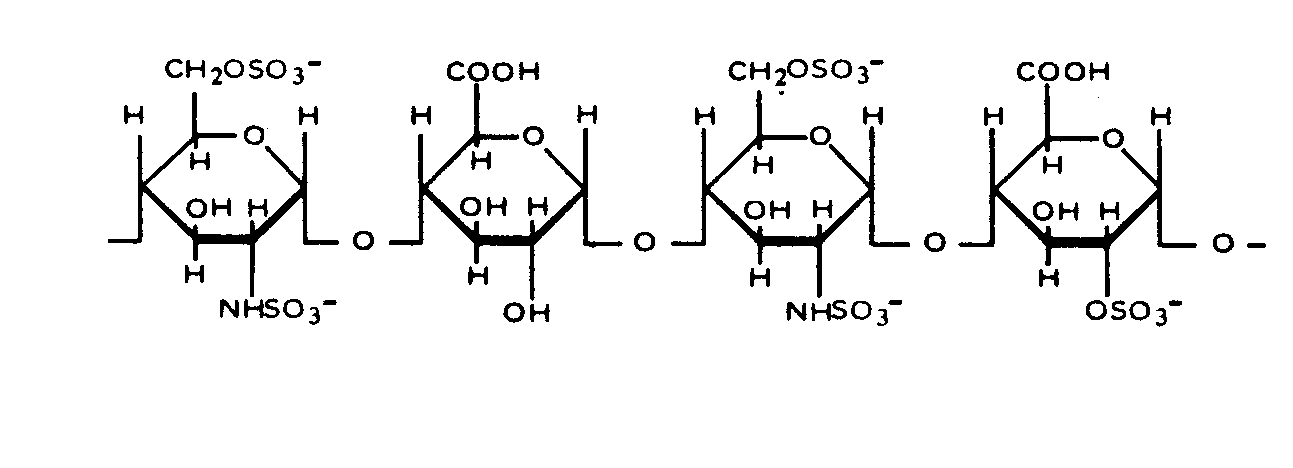
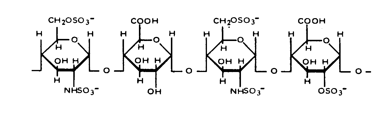
   keemiline struktuur  

Kaubanduslikud nimed erinevates maades   Kaubanduslikud nimed erinevates maades     

Preparaatide nimed on näitlikud ja abianete sisaldus võib erineda sõltuvalt riigist ja laborist

Arapin Tšiili
Ateroclar Itaalia
Clarisco Itaalia
Epsoclar Itaalia
Hepaflex Norra, Soome
Hepamax Ecuador, Kolumbia, Tšiili
Heparin Ameerika ühendriigid, Austria, Holland, Jugoslaavia, Kanada, Kreeka, Lõuna Aafrika Vabariik, Norra, Rootsi, Soome, Suurbritannia, Sveits, Taani, Tai, Türgi, Ungari, vene
Heparine Belgia, Prantsusmaa
Heparinised Austraalia
Heparstad Saksamaa
Liquemin Sveits, Türgi
Liquemine Brasiilia
Monoparin Saudi Araabia
Normoparin Itaalia
Nuparin Ecuador
Pharepa Itaalia
Riveparin Argentiina
Sobrius Argentiina, Ecuador
Thrombophob Saksamaa
Stabiilsust mõjutavad tegurid   Süsteravim   Stabiilsust mõjutavad tegurid : Heparin sodium     
konteiner lahusti kontsentratsioon ingredient temperatuur ladustamine Stabiilsuse kestus Viited
klaas naatriumkloriid 0.9% 9,75 UI/ml
Süsteravim   Heparin sodium   
Süsteravim   Vancomycin hydrochloride 0,025 mg/ml
23°C
85 päev
pole täpsustatud 3958
Bioloogiline analüüs
klaas naatriumkloriid 0.9% 50 UI/ml
Süsteravim   Heparin sodium   
Süsteravim   Magnesium sulfate 15,6 mg/ml
25°C
14 päev
valgus 2100
Bioloogiline analüüs
klaas naatriumkloriid 0.9% 2500 UI/ml
Süsteravim   Heparin sodium   
Süsteravim   Telavancin hydrochloride 2 & 5 mg/ml
Süsteravim   Sodium citrate 22 & 40 mg/ml
37°C
72 Tund
kaitsta valguse eest 3327
Tõenduspõhisuse tase D
klaas naatriumkloriid 0.9% 2500 UI/ml
Süsteravim   Heparin sodium   
Süsteravim   Vancomycin hydrochloride 2 & 5 mg/ml
Süsteravim   Sodium citrate 22 & 40 mg/ml
37°C
72 Tund
kaitsta valguse eest 3327
Tõenduspõhisuse tase D
klaas naatriumkloriid 0.9% 100 UI/ml
Süsteravim   Heparin sodium   
Süsteravim   Vancomycin hydrochloride 0,025 mg/ml
4°C
63 päev
kaitsta valguse eest 1414
Bioloogiline analüüs
klaas naatriumkloriid 0.9% 9,75 UI/ml
Süsteravim   Heparin sodium   
Süsteravim   Vancomycin hydrochloride 0,025 mg/ml
4°C
85 päev
pole täpsustatud 3958
Bioloogiline analüüs
klaas glükoos 5% 59 UI/ml
Süsteravim   Heparin sodium   
Süsteravim   Milrinone lactate 0,2 mg/ml
22°C-23°C
4 Tund
valgus 813
Tõenduspõhisuse tase A
klaas glükoos 5% 20 UI/ml
Süsteravim   Heparin sodium   
Süsteravim   Dopamine hydrochloride 0,8 mg/ml
23°C-25°C
24 Tund
valgus 738
Jokker
klaas glükoos 5% 50 UI/ml
Süsteravim   Heparin sodium   
Süsteravim   Palonosetron hydrochloride 25 µg/ml
25°C
4 Tund
valgus 2279
Tõenduspõhisuse tase A+
klaas glükoos 5% 100 UI/ml
Süsteravim   Heparin sodium   
Süsteravim   Fluconazole 1 mg/ml
25°C
24 Tund
valgus 257
Tõenduspõhisuse tase D
polüvinüülkloriid naatriumkloriid 0.9% 20 & 50 UI/ml
Süsteravim   Heparin sodium   
Süsteravim   Tirofiban 25 µg/ml
25°C
4 Tund
valgus 1420
Tõenduspõhisuse tase C+
polüvinüülkloriid glükoos 5% 50 UI/ml
Süsteravim   Heparin sodium   
Süsteravim   Flumazenil 0,02 mg/ml
23°C
24 Tund
valgus 187
Tõenduspõhisuse tase A
polüvinüülkloriid glükoos 5% 20 & 50 UI/ml
Süsteravim   Heparin sodium   
Süsteravim   Tirofiban 25 µg/ml
25°C
4 Tund
valgus 1420
Tõenduspõhisuse tase C+
polüvinüülkloriid Dianéal® PD1 1.5% glükoos (Baxter) 0,5 UI/ml
Süsteravim   Heparin sodium   
Süsteravim   Piperacillin sodium / tazobactam 0,5/0,0625 mg/ml
37°C
10 Tund
pole täpsustatud 4180
Tõenduspõhisuse tase B
polüvinüülkloriid Dianéal® PD1 1.5% glükoos (Baxter) 0,5 UI/ml
Süsteravim   Heparin sodium   
Süsteravim   Meropenem 0,5 mg/ml
37°C
10 Tund
pole täpsustatud 4180
Tõenduspõhisuse tase B
polüvinüülkloriid Dianéal® PD1 1.5% glükoos (Baxter) 0,5 UI/ml
Süsteravim   Heparin sodium   
Süsteravim   Piperacillin sodium / tazobactam 0,5/0,0625 mg/ml
4°C
168 Tund
pole täpsustatud 4180
Tõenduspõhisuse tase B
polüvinüülkloriid Dianéal® PD1 1.5% glükoos (Baxter) 0,5 UI/ml
Süsteravim   Heparin sodium   
Süsteravim   Meropenem 0,5 mg/ml
4°C
168 Tund
pole täpsustatud 4180
Tõenduspõhisuse tase B
polüvinüülkloriid Dianéal® PD2 4.25% glükoos (Baxter) 0,5 UI/ml
Süsteravim   Heparin sodium   
Süsteravim   Piperacillin sodium / tazobactam 0,5/0,0625 mg/ml
37°C
10 Tund
pole täpsustatud 4180
Tõenduspõhisuse tase B
polüvinüülkloriid Dianéal® PD2 4.25% glükoos (Baxter) 0,5 UI/ml
Süsteravim   Heparin sodium   
Süsteravim   Meropenem 0,5 mg/ml
37°C
10 Tund
pole täpsustatud 4180
Tõenduspõhisuse tase B
polüvinüülkloriid Dianéal® PD2 4.25% glükoos (Baxter) 0.5 UI/ml
Süsteravim   Heparin sodium   
Süsteravim   Ceftazidime 0.125 mg/ml
37°C
12 Tund
pole täpsustatud 4056
Tõenduspõhisuse tase B+
polüvinüülkloriid Dianéal® PD2 4.25% glükoos (Baxter) 0.5 UI/ml
Süsteravim   Heparin sodium   
Süsteravim   Ceftazidime 0.125 mg/ml
4°C
120 Tund
pole täpsustatud 4056
Tõenduspõhisuse tase B+
polüvinüülkloriid Dianéal® PD2 4.25% glükoos (Baxter) 0,5 UI/ml
Süsteravim   Heparin sodium   
Süsteravim   Piperacillin sodium / tazobactam 0,5/0,0625 mg/ml
4°C
168 Tund
pole täpsustatud 4180
Tõenduspõhisuse tase B
polüvinüülkloriid Dianéal® PD2 4.25% glükoos (Baxter) 0,5 UI/ml
Süsteravim   Heparin sodium   
Süsteravim   Meropenem 0,5 mg/ml
4°C
168 Tund
pole täpsustatud 4180
Tõenduspõhisuse tase B
polüvinüülkloriid Dianéal® PD2 2.5% glucose (Baxter) 0,5 UI/ml
Süsteravim   Heparin sodium   
Süsteravim   Piperacillin sodium / tazobactam 0,5/0,0625 mg/ml
37°C
10 Tund
pole täpsustatud 4180
Tõenduspõhisuse tase B
polüvinüülkloriid Dianéal® PD2 2.5% glucose (Baxter) 0,5 UI/ml
Süsteravim   Heparin sodium   
Süsteravim   Meropenem 0,5 mg/ml
37°C
10 Tund
pole täpsustatud 4180
Tõenduspõhisuse tase B
polüvinüülkloriid Dianéal® PD2 2.5% glucose (Baxter) 0.5 UI/ml
Süsteravim   Heparin sodium   
Süsteravim   Ceftazidime 0.125 mg/ml
37°C
12 Tund
pole täpsustatud 4056
Tõenduspõhisuse tase B+
polüvinüülkloriid Dianéal® PD2 2.5% glucose (Baxter) 0.5 UI/ml
Süsteravim   Heparin sodium   
Süsteravim   Ceftazidime 0.125 mg/ml
4°C
120 Tund
pole täpsustatud 4056
Tõenduspõhisuse tase B+
polüvinüülkloriid Dianéal® PD2 2.5% glucose (Baxter) 0,5 UI/ml
Süsteravim   Heparin sodium   
Süsteravim   Piperacillin sodium / tazobactam 0,5/0,0625 mg/ml
4°C
168 Tund
pole täpsustatud 4180
Tõenduspõhisuse tase B
polüvinüülkloriid Dianéal® PD2 2.5% glucose (Baxter) 0,5 UI/ml
Süsteravim   Heparin sodium   
Süsteravim   Meropenem 0,5 mg/ml
4°C
168 Tund
pole täpsustatud 4180
Tõenduspõhisuse tase B
polüvinüülkloriid Extraneal® (Baxter) 0,5 UI/ml
Süsteravim   Heparin sodium   
Süsteravim   Piperacillin sodium / tazobactam 0,5/0,0625 mg/ml
37°C
10 Tund
pole täpsustatud 4180
Tõenduspõhisuse tase B
polüvinüülkloriid Extraneal® (Baxter) 0,5 UI/ml
Süsteravim   Heparin sodium   
Süsteravim   Meropenem 0,5 mg/ml
37°C
10 Tund
pole täpsustatud 4180
Tõenduspõhisuse tase B
polüvinüülkloriid Extraneal® (Baxter) 0.5 UI/ml
Süsteravim   Heparin sodium   
Süsteravim   Ceftazidime 0.125 mg/ml
37°C
12 Tund
pole täpsustatud 4056
Tõenduspõhisuse tase B+
polüvinüülkloriid Extraneal® (Baxter) 0.5 UI/ml
Süsteravim   Heparin sodium   
Süsteravim   Ceftazidime 0.125 mg/ml
4°C
120 Tund
pole täpsustatud 4056
Tõenduspõhisuse tase B+
polüvinüülkloriid Extraneal® (Baxter) 0,5 UI/ml
Süsteravim   Heparin sodium   
Süsteravim   Piperacillin sodium / tazobactam 0,5/0,0625 mg/ml
4°C
168 Tund
pole täpsustatud 4180
Tõenduspõhisuse tase B
polüvinüülkloriid Extraneal® (Baxter) 0,5 UI/ml
Süsteravim   Heparin sodium   
Süsteravim   Meropenem 0,5 mg/ml
4°C
168 Tund
pole täpsustatud 4180
Tõenduspõhisuse tase B
polüvinüülkloriid Physionéal® 1.36 (Baxter) 1,4 UI/ml
Süsteravim   Heparin sodium   
Süsteravim   Piperacillin sodium / tazobactam 1,38/0,172 mg/ml
37°C
10 Tund
pole täpsustatud 4180
Tõenduspõhisuse tase B
polüvinüülkloriid Physionéal® 1.36 (Baxter) 1,4 UI/ml
Süsteravim   Heparin sodium   
Süsteravim   Piperacillin sodium / tazobactam 1,38/0,172 mg/ml
4°C
168 Tund
pole täpsustatud 4180
Tõenduspõhisuse tase B
polüvinüülkloriid Physionéal® 2.27 (Baxter) 1,4 UI/ml
Süsteravim   Heparin sodium   
Süsteravim   Piperacillin sodium / tazobactam 1,38/0,172 mg/ml
37°C
10 Tund
pole täpsustatud 4180
Tõenduspõhisuse tase B
polüvinüülkloriid Physionéal® 2.27 (Baxter) 1,4 UI/ml
Süsteravim   Heparin sodium   
Süsteravim   Piperacillin sodium / tazobactam 1,38/0,172 mg/ml
4°C
168 Tund
pole täpsustatud 4180
Tõenduspõhisuse tase B
polüvinüülkloriid Physionéal® 3.86 (Baxter) 1,4 UI/ml
Süsteravim   Heparin sodium   
Süsteravim   Piperacillin sodium / tazobactam 1,38/0,172 mg/ml
37°C
10 Tund
pole täpsustatud 4180
Tõenduspõhisuse tase B
polüvinüülkloriid Physionéal® 3.86 (Baxter) 1,4 UI/ml
Süsteravim   Heparin sodium   
Süsteravim   Piperacillin sodium / tazobactam 1,38/0,172 mg/ml
4°C
168 Tund
pole täpsustatud 4180
Tõenduspõhisuse tase B
polüpropüleen naatriumkloriid 0.9% 5000 UI/ml
Süsteravim   Heparin sodium   
Süsteravim   Vancomycin hydrochloride 0,1 mg/ml
4°C
28 päev
pole täpsustatud 3956
Bioloogiline analüüs
polüpropüleen naatriumkloriid 0.9% 5000 UI/ml
Süsteravim   Heparin sodium   
Süsteravim   Gentamicin sulfate 0,1 mg/ml
4°C
28 päev
pole täpsustatud 3956
Bioloogiline analüüs
süstal  polüpropüleenist naatriumkloriid 0.9% 100 UI/ml
Süsteravim   Heparin sodium   
Süsteravim   Vancomycin hydrochloride 0,025 mg/ml
4°C
14 päev
kaitsta valguse eest 895
Bioloogiline analüüs
süstal  polüpropüleenist Ringer laktaat 100 UI/ml
Süsteravim   Heparin sodium   
Süsteravim   Daptomycin 5 mg/ml
-20°C
14 päev
kaitsta valguse eest 3665
Tõenduspõhisuse tase B
süstal  polüpropüleenist Ringer laktaat 100 UI/ml
Süsteravim   Heparin sodium   
Süsteravim   Daptomycin 5 mg/ml
4°C
14 päev
pole täpsustatud 3665
Tõenduspõhisuse tase B
süstal  polüpropüleenist mitte ükski 960 UI/ml
Süsteravim   Heparin sodium   
Süsteravim   Fluorouracil 24 mg/ml
37°C
7 päev
pole täpsustatud 163
Tõenduspõhisuse tase B
süstal  polüpropüleenist mitte ükski 960 UI/ml
Süsteravim   Heparin sodium   
Süsteravim   Fluorouracil 24 mg/ml
4°C
14 päev
kaitsta valguse eest 163
Tõenduspõhisuse tase B
pole täpsustatud naatriumkloriid 0.9% 5000 UI/ml
Süsteravim   Heparin sodium   
Süsteravim   Daptomycin 19,6 mg/ml
22°C-28°C
2 Tund
pole täpsustatud 1937
Tõenduspõhisuse tase C+

  Mentions Légales