Letztes “update” :
27/01/2026
Antikoagulans   Heparin sodium  
Injektion
Stabilität der Lösung Gemengestabilität Stabilitätbeeinflussende Faktoren Kompatibilitäten Applikationsart Literaturverzeichnis pdf
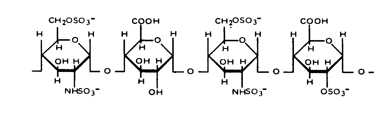
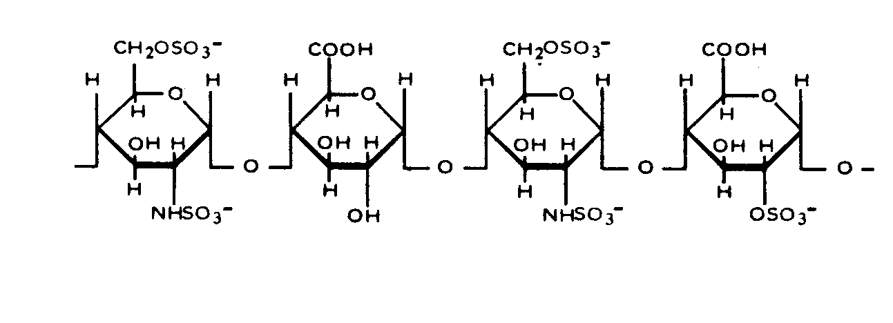
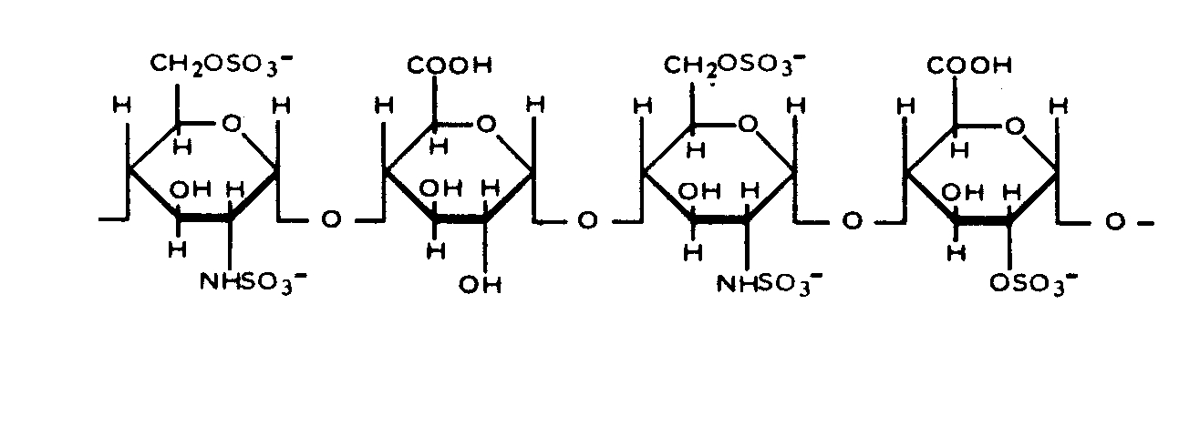
   Chemische Struktur  

Handelsmarke   Handelsmarke     

Handelsnamen sind als beispielhaft anzusehen. Sonstige Bestandteile können je nach Hersteller oder Land verschieden sein

Arapin Chile
Ateroclar Italien
Clarisco Italien
Epsoclar Italien
Hepaflex Finnland, Norwegen
Hepamax Chile, Ecuador, Kolumbien
Heparin Dänemark, Finnland, Griechenland, Großbritannien, Jugoslawien, Kanada, Niederlande, Norwegen, Österreich, russisch, Schweden, Schweiz, Südafrika, Thailand, Türkei, Ungarn, Vereinigte Staaten von Amerika
Heparine Belgien, Frankreich
Heparinised Australien
Heparstad Deutschland
Liquemin Schweiz, Türkei
Liquemine Brasilien
Monoparin Saudi-Arabien
Normoparin Italien
Nuparin Ecuador
Pharepa Italien
Riveparin Argentinien
Sobrius Argentinien, Ecuador
Thrombophob Deutschland
Gemengestabilität   Injektion   Gemengestabilität : Heparin sodium     
Behälter Lösungsmittel Konzentration Molekül Temperatur Konservierung Dauer der Stabilität Literaturverzeichnis
Glas 0,9% Natriumchlorid 9,75 UI/ml
Injektion   Heparin sodium   
Injektion   Vancomycin hydrochloride 0,025 mg/ml
23°C
85 Tag
Nicht genau angegeben 3958
Biologische Analysen
Glas 0,9% Natriumchlorid 50 UI/ml
Injektion   Heparin sodium   
Injektion   Magnesium sulfate 15,6 mg/ml
25°C
14 Tag
Licht 2100
Biologische Analysen
Glas 0,9% Natriumchlorid 2500 UI/ml
Injektion   Heparin sodium   
Injektion   Telavancin hydrochloride 2 & 5 mg/ml
Injektion   Sodium citrate 22 & 40 mg/ml
37°C
72 Stunde
Ohne Licht 3327
Evidenzgrad D
Glas 0,9% Natriumchlorid 2500 UI/ml
Injektion   Heparin sodium   
Injektion   Vancomycin hydrochloride 2 & 5 mg/ml
Injektion   Sodium citrate 22 & 40 mg/ml
37°C
72 Stunde
Ohne Licht 3327
Evidenzgrad D
Glas 0,9% Natriumchlorid 100 UI/ml
Injektion   Heparin sodium   
Injektion   Vancomycin hydrochloride 0,025 mg/ml
4°C
63 Tag
Ohne Licht 1414
Biologische Analysen
Glas 0,9% Natriumchlorid 9,75 UI/ml
Injektion   Heparin sodium   
Injektion   Vancomycin hydrochloride 0,025 mg/ml
4°C
85 Tag
Nicht genau angegeben 3958
Biologische Analysen
Glas 5% Glucose 59 UI/ml
Injektion   Heparin sodium   
Injektion   Milrinone lactate 0,2 mg/ml
22°C-23°C
4 Stunde
Licht 813
Evidenzgrad A
Glas 5% Glucose 20 UI/ml
Injektion   Heparin sodium   
Injektion   Dopamine hydrochloride 0,8 mg/ml
23°C-25°C
24 Stunde
Licht 738
Joker
Glas 5% Glucose 50 UI/ml
Injektion   Heparin sodium   
Injektion   Palonosetron hydrochloride 25 µg/ml
25°C
4 Stunde
Licht 2279
Evidenzgrad A+
Glas 5% Glucose 100 UI/ml
Injektion   Heparin sodium   
Injektion   Fluconazole 1 mg/ml
25°C
24 Stunde
Licht 257
Evidenzgrad D
Polyvinylchlorid 0,9% Natriumchlorid 20 & 50 UI/ml
Injektion   Heparin sodium   
Injektion   Tirofiban 25 µg/ml
25°C
4 Stunde
Licht 1420
Evidenzgrad C+
Polyvinylchlorid 5% Glucose 50 UI/ml
Injektion   Heparin sodium   
Injektion   Flumazenil 0,02 mg/ml
23°C
24 Stunde
Licht 187
Evidenzgrad A
Polyvinylchlorid 5% Glucose 20 & 50 UI/ml
Injektion   Heparin sodium   
Injektion   Tirofiban 25 µg/ml
25°C
4 Stunde
Licht 1420
Evidenzgrad C+
Polyvinylchlorid Dianéal® PD1 1.5% glucose (Baxter) 0,5 UI/ml
Injektion   Heparin sodium   
Injektion   Piperacillin sodium / tazobactam 0,5/0,0625 mg/ml
37°C
10 Stunde
Nicht genau angegeben 4180
Evidenzgrad B
Polyvinylchlorid Dianéal® PD1 1.5% glucose (Baxter) 0,5 UI/ml
Injektion   Heparin sodium   
Injektion   Meropenem 0,5 mg/ml
37°C
10 Stunde
Nicht genau angegeben 4180
Evidenzgrad B
Polyvinylchlorid Dianéal® PD1 1.5% glucose (Baxter) 0,5 UI/ml
Injektion   Heparin sodium   
Injektion   Piperacillin sodium / tazobactam 0,5/0,0625 mg/ml
4°C
168 Stunde
Nicht genau angegeben 4180
Evidenzgrad B
Polyvinylchlorid Dianéal® PD1 1.5% glucose (Baxter) 0,5 UI/ml
Injektion   Heparin sodium   
Injektion   Meropenem 0,5 mg/ml
4°C
168 Stunde
Nicht genau angegeben 4180
Evidenzgrad B
Polyvinylchlorid Dianéal® PD2 4.25% glucose (Baxter) 0,5 UI/ml
Injektion   Heparin sodium   
Injektion   Piperacillin sodium / tazobactam 0,5/0,0625 mg/ml
37°C
10 Stunde
Nicht genau angegeben 4180
Evidenzgrad B
Polyvinylchlorid Dianéal® PD2 4.25% glucose (Baxter) 0,5 UI/ml
Injektion   Heparin sodium   
Injektion   Meropenem 0,5 mg/ml
37°C
10 Stunde
Nicht genau angegeben 4180
Evidenzgrad B
Polyvinylchlorid Dianéal® PD2 4.25% glucose (Baxter) 0.5 UI/ml
Injektion   Heparin sodium   
Injektion   Ceftazidime 0.125 mg/ml
37°C
12 Stunde
Nicht genau angegeben 4056
Evidenzgrad B+
Polyvinylchlorid Dianéal® PD2 4.25% glucose (Baxter) 0.5 UI/ml
Injektion   Heparin sodium   
Injektion   Ceftazidime 0.125 mg/ml
4°C
120 Stunde
Nicht genau angegeben 4056
Evidenzgrad B+
Polyvinylchlorid Dianéal® PD2 4.25% glucose (Baxter) 0,5 UI/ml
Injektion   Heparin sodium   
Injektion   Piperacillin sodium / tazobactam 0,5/0,0625 mg/ml
4°C
168 Stunde
Nicht genau angegeben 4180
Evidenzgrad B
Polyvinylchlorid Dianéal® PD2 4.25% glucose (Baxter) 0,5 UI/ml
Injektion   Heparin sodium   
Injektion   Meropenem 0,5 mg/ml
4°C
168 Stunde
Nicht genau angegeben 4180
Evidenzgrad B
Polyvinylchlorid Dianéal® PD2 2.5% glucose (Baxter) 0,5 UI/ml
Injektion   Heparin sodium   
Injektion   Piperacillin sodium / tazobactam 0,5/0,0625 mg/ml
37°C
10 Stunde
Nicht genau angegeben 4180
Evidenzgrad B
Polyvinylchlorid Dianéal® PD2 2.5% glucose (Baxter) 0,5 UI/ml
Injektion   Heparin sodium   
Injektion   Meropenem 0,5 mg/ml
37°C
10 Stunde
Nicht genau angegeben 4180
Evidenzgrad B
Polyvinylchlorid Dianéal® PD2 2.5% glucose (Baxter) 0.5 UI/ml
Injektion   Heparin sodium   
Injektion   Ceftazidime 0.125 mg/ml
37°C
12 Stunde
Nicht genau angegeben 4056
Evidenzgrad B+
Polyvinylchlorid Dianéal® PD2 2.5% glucose (Baxter) 0.5 UI/ml
Injektion   Heparin sodium   
Injektion   Ceftazidime 0.125 mg/ml
4°C
120 Stunde
Nicht genau angegeben 4056
Evidenzgrad B+
Polyvinylchlorid Dianéal® PD2 2.5% glucose (Baxter) 0,5 UI/ml
Injektion   Heparin sodium   
Injektion   Piperacillin sodium / tazobactam 0,5/0,0625 mg/ml
4°C
168 Stunde
Nicht genau angegeben 4180
Evidenzgrad B
Polyvinylchlorid Dianéal® PD2 2.5% glucose (Baxter) 0,5 UI/ml
Injektion   Heparin sodium   
Injektion   Meropenem 0,5 mg/ml
4°C
168 Stunde
Nicht genau angegeben 4180
Evidenzgrad B
Polyvinylchlorid Extraneal® (Baxter) 0,5 UI/ml
Injektion   Heparin sodium   
Injektion   Piperacillin sodium / tazobactam 0,5/0,0625 mg/ml
37°C
10 Stunde
Nicht genau angegeben 4180
Evidenzgrad B
Polyvinylchlorid Extraneal® (Baxter) 0,5 UI/ml
Injektion   Heparin sodium   
Injektion   Meropenem 0,5 mg/ml
37°C
10 Stunde
Nicht genau angegeben 4180
Evidenzgrad B
Polyvinylchlorid Extraneal® (Baxter) 0.5 UI/ml
Injektion   Heparin sodium   
Injektion   Ceftazidime 0.125 mg/ml
37°C
12 Stunde
Nicht genau angegeben 4056
Evidenzgrad B+
Polyvinylchlorid Extraneal® (Baxter) 0.5 UI/ml
Injektion   Heparin sodium   
Injektion   Ceftazidime 0.125 mg/ml
4°C
120 Stunde
Nicht genau angegeben 4056
Evidenzgrad B+
Polyvinylchlorid Extraneal® (Baxter) 0,5 UI/ml
Injektion   Heparin sodium   
Injektion   Piperacillin sodium / tazobactam 0,5/0,0625 mg/ml
4°C
168 Stunde
Nicht genau angegeben 4180
Evidenzgrad B
Polyvinylchlorid Extraneal® (Baxter) 0,5 UI/ml
Injektion   Heparin sodium   
Injektion   Meropenem 0,5 mg/ml
4°C
168 Stunde
Nicht genau angegeben 4180
Evidenzgrad B
Polyvinylchlorid Physionéal® 1.36 (Baxter) 1,4 UI/ml
Injektion   Heparin sodium   
Injektion   Piperacillin sodium / tazobactam 1,38/0,172 mg/ml
37°C
10 Stunde
Nicht genau angegeben 4180
Evidenzgrad B
Polyvinylchlorid Physionéal® 1.36 (Baxter) 1,4 UI/ml
Injektion   Heparin sodium   
Injektion   Piperacillin sodium / tazobactam 1,38/0,172 mg/ml
4°C
168 Stunde
Nicht genau angegeben 4180
Evidenzgrad B
Polyvinylchlorid Physionéal® 2.27 (Baxter) 1,4 UI/ml
Injektion   Heparin sodium   
Injektion   Piperacillin sodium / tazobactam 1,38/0,172 mg/ml
37°C
10 Stunde
Nicht genau angegeben 4180
Evidenzgrad B
Polyvinylchlorid Physionéal® 2.27 (Baxter) 1,4 UI/ml
Injektion   Heparin sodium   
Injektion   Piperacillin sodium / tazobactam 1,38/0,172 mg/ml
4°C
168 Stunde
Nicht genau angegeben 4180
Evidenzgrad B
Polyvinylchlorid Physionéal® 3.86 (Baxter) 1,4 UI/ml
Injektion   Heparin sodium   
Injektion   Piperacillin sodium / tazobactam 1,38/0,172 mg/ml
37°C
10 Stunde
Nicht genau angegeben 4180
Evidenzgrad B
Polyvinylchlorid Physionéal® 3.86 (Baxter) 1,4 UI/ml
Injektion   Heparin sodium   
Injektion   Piperacillin sodium / tazobactam 1,38/0,172 mg/ml
4°C
168 Stunde
Nicht genau angegeben 4180
Evidenzgrad B
Polypropylen 0,9% Natriumchlorid 5000 UI/ml
Injektion   Heparin sodium   
Injektion   Vancomycin hydrochloride 0,1 mg/ml
4°C
28 Tag
Nicht genau angegeben 3956
Biologische Analysen
Polypropylen 0,9% Natriumchlorid 5000 UI/ml
Injektion   Heparin sodium   
Injektion   Gentamicin sulfate 0,1 mg/ml
4°C
28 Tag
Nicht genau angegeben 3956
Biologische Analysen
 Spritze Polypropylen 0,9% Natriumchlorid 100 UI/ml
Injektion   Heparin sodium   
Injektion   Vancomycin hydrochloride 0,025 mg/ml
4°C
14 Tag
Ohne Licht 895
Biologische Analysen
 Spritze Polypropylen Ringer Lactat - Lösung 100 UI/ml
Injektion   Heparin sodium   
Injektion   Daptomycin 5 mg/ml
-20°C
14 Tag
Ohne Licht 3665
Evidenzgrad B
 Spritze Polypropylen Ringer Lactat - Lösung 100 UI/ml
Injektion   Heparin sodium   
Injektion   Daptomycin 5 mg/ml
4°C
14 Tag
Nicht genau angegeben 3665
Evidenzgrad B
 Spritze Polypropylen Kein 960 UI/ml
Injektion   Heparin sodium   
Injektion   Fluorouracil 24 mg/ml
37°C
7 Tag
Nicht genau angegeben 163
Evidenzgrad B
 Spritze Polypropylen Kein 960 UI/ml
Injektion   Heparin sodium   
Injektion   Fluorouracil 24 mg/ml
4°C
14 Tag
Ohne Licht 163
Evidenzgrad B
Nicht genau angegeben 0,9% Natriumchlorid 5000 UI/ml
Injektion   Heparin sodium   
Injektion   Daptomycin 19,6 mg/ml
22°C-28°C
2 Stunde
Nicht genau angegeben 1937
Evidenzgrad C+

  Mentions Légales