Останнє оновлення :
18/03/2026
Антибіотик   Gentamicin sulfate  
ін'єкція
Очні краплі
Стійкість в розчинах Стійкість сумішей Фактори, що впливають на стабільність Сумісність Шлях введення Список літератури pdf
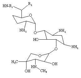
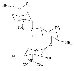
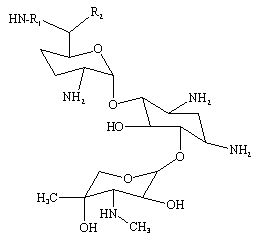
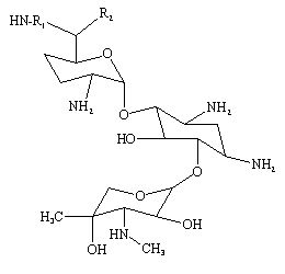
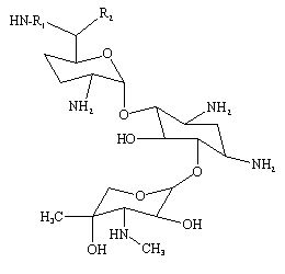
   Хімічна структура  

Торгова назва   Торгова назва     

Торгові назви є орієнтовними, а склад допоміжних речовин може бути різним залежно від країни та виробника

Azupel Перу
Cidomycin Єгипет, Великобританія, Туніс
Dabroson Греція
Epigent Єгипет
Garalone Португалія
Garamicina Бразилія, Еквадор, Колумбія, Мексика
Garamycin Єгипет, Індія, Греція, Данія, Нідерланди, Норвегія, Об'єднані Арабські Емірати, Польща, Хорватія, Швейцарія
Genmisin Туреччина
Gensif Туреччина
Gensumycin Норвегія, Фінляндія, Швеція
Genta-Gobens Іспанія
Gentalline Марокко
Gentamen Марокко
Genticin Ірландія, Великобританія, Об'єднані Арабські Емірати
Gentreks Туреччина
Hexamycin Данія
Plurisemina Аргентина
Refobacin Єгипет, Австрія, Колумбія, Німеччина
Rupegen Аргентина
Стійкість в розчинах   ін'єкція   Стійкість в розчинах : Gentamicin sulfate     
Контейнер Розчинник Концентрація температура Зберігання Тривалість стабільності Список літератури
скло Натрію хлорид 0,9% 10 mg/ml 4°C Берегти від світла
84 День
1486
Біологічний аналіз

Полівініл хлорид Натрію хлорид 0,9% 1 mg/ml -20°C Берегти від світла
30 День
573
Біологічний аналіз

Полівініл хлорид Натрію хлорид 0,9% 1 mg/ml 25°C світло
48 годину
434

Полівініл хлорид Натрію хлорид 0,9% 1 mg/ml 4°C Берегти від світла
48 годину
434

Полівініл хлорид Натрію хлорид 0,9% 1,2 mg/ml -20°C Берегти від світла
28 День
565
Рівень доказовості D

Полівініл хлорид Глюкоза 5% 1 mg/ml -20°C Берегти від світла
30 День
573
Біологічний аналіз

Полівініл хлорид Глюкоза 5% 1 mg/ml 25°C світло
48 годину
434

суперечливі дані
Полівініл хлорид Глюкоза 5% 1 mg/ml 4°C Берегти від світла
48 годину
434

Полівініл хлорид Глюкоза 5% 1,2 mg/ml -20°C Берегти від світла
28 День
565
Рівень доказовості D

Полівініл хлорид Глюкоза 5% 1,6 mg/ml -20°C Берегти від світла
30 День
576
Біологічний аналіз

Полівініл хлорид Extraneal® (Baxter) 0,02 mg/ml 25°C Берегти від світла
14 День
3888
Рівень доказовості D

Полівініл хлорид Extraneal® (Baxter) 0,02 mg/ml 37°C Берегти від світла
14 День
3888
Рівень доказовості D

Полівініл хлорид Extraneal® (Baxter) 0,02 mg/ml 4°C Берегти від світла
14 День
3888
Рівень доказовості D

Поліетилен Вода для ін'єкцій 2,5 mg/ml 25°C Зі світлом чи без
112 День
3141
Рівень доказовості B

Етиленвінілацетат Натрію хлорид 0,9% 0,85 mg/ml 23°C Берегти від світла
7 День
1704
Рівень доказовості А+

Етиленвінілацетат Натрію хлорид 0,9% 0,85 mg/ml 4°C Берегти від світла
30 День
1704
Рівень доказовості А+

Поліпропіленовий шприц Натрію хлорид 0,9% 30 mg/ml 22°C-23°C світло
48 годину
639
Рівень доказовості D

Поліізопреновий еластомер Натрію хлорид 0,9% 0,5 & 5 mg/ml 25°C Не визначено
24 годину
604
Дані виробника про стабільність

Поліізопреновий еластомер Натрію хлорид 0,9% 0,5 & 5 mg/ml 4°C Берегти від світла
10 День
604
Дані виробника про стабільність

Поліізопреновий еластомер Глюкоза 5% 0,5 & 5 mg/ml 25°C Не визначено
24 годину
604
Дані виробника про стабільність

суперечливі дані
Поліізопреновий еластомер Глюкоза 5% 0,5 & 5 mg/ml 4°C Берегти від світла
10 День
604
Дані виробника про стабільність

Не визначено Вода для ін'єкцій 2,5 mg/ml 37°C Не визначено
96 годину
3952
Рівень доказовості А


  Mentions Légales