zadnja posodobitev :
27/01/2026
Infostab
Seznami
Seznami
Poiščite združljivosti
Tabela združljivosti Y-strani
Viri
raziskovalne skupine
valistab
poster
Povezave
sponzorji
Avtor
Navodilo za uporabo
Newsletter
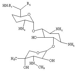
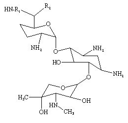
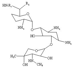
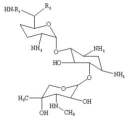
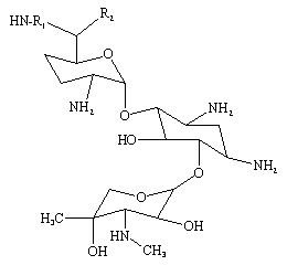
Gentamicin sulfate
Kemična formula
Lastniško ime
Sestava pomožnih snovi je med paralelami lahko različna
Azupel
Peru
Cidomycin
Egipt, Tunizija, Velika Britanija
Dabroson
Grčija
Epigent
Egipt
Garalone
Portugalska
Garamicina
Brazilija, Ekvador, Kolumbija, Mehika
Garamycin
Danska, Egipt, Grčija, Hrvaška, Indija, Nizozemska, Norveška, Poljska, Švica, Združeni arabski emirati
Genmisin
Turčija
Gensif
Turčija
Gensumycin
Finska, Norveška, Švedska
Genta-Gobens
Španija
Gentalline
Maroko
Gentamen
Maroko
Genticin
Irska, Velika Britanija, Združeni arabski emirati
Gentreks
Turčija
Hexamycin
Danska
Plurisemina
Argentina
Refobacin
Avstrija, Egipt, Kolumbija, Nemčija
Rupegen
Argentina
Stabilnost raztopine : Gentamicin sulfate
10 mg/ml
4°C
84
1486
1 mg/ml
-20°C
30
573
1 mg/ml
25°C
48
434
1 mg/ml
4°C
48
434
1,2 mg/ml
-20°C
28
565
1 mg/ml
-20°C
30
573
1 mg/ml
25°C
48
434
1 mg/ml
4°C
48
434
1,2 mg/ml
-20°C
28
565
1,6 mg/ml
-20°C
30
576
0,02 mg/ml
25°C
14
3888
0,02 mg/ml
37°C
14
3888
0,02 mg/ml
4°C
14
3888
2,5 mg/ml
25°C
112
3141
0,85 mg/ml
23°C
7
1704
0,85 mg/ml
4°C
30
1704
30 mg/ml
22°C-23°C
48
639
0,5 & 5 mg/ml
25°C
24
604
0,5 & 5 mg/ml
4°C
10
604
0,5 & 5 mg/ml
25°C
24
604
0,5 & 5 mg/ml
4°C
10
604
2,5 mg/ml
37°C
96
3952
Mentions Légales