Last update :
18/03/2026
Antibiotic   Gentamicin sulfate  
injection
Eye-drops
Stability in solutions Stability of mixtures Factors which affect stability Compatibility Route of administration References pdf
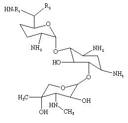
   Chemical structure  

Tradename   Tradename     

Trade names are indicative and excipients composition can be different depending on the country and manufacturers

Azupel Peru
Cidomycin Egypt, Great Britain, Tunisia
Dabroson Greece
Epigent Egypt
Garalone Portugal
Garamicina Brazil, Colombia, Ecuador, Mexico
Garamycin Croatia, Denmark, Egypt, Greece, India, Netherlands, Norway, Poland, Switzerland, United Arab Emirates
Genmisin Turkey
Gensif Turkey
Gensumycin Finland, Norway, Sweden
Genta-Gobens Spain
Gentalline Morocco
Gentamen Morocco
Genticin Great Britain, Ireland, United Arab Emirates
Gentreks Turkey
Hexamycin Denmark
Plurisemina Argentina
Refobacin Austria, Colombia, Egypt, Germany
Rupegen Argentina
Stability in solutions   injection   Stability in solutions : Gentamicin sulfate     
Container Solvent Concentration Temperature Storage Duration of stability References
Glass Sodium chloride 0,9% 10 mg/ml 4°C Protect from light
84 Day
1486
Biological analysis

Polyvinyl chloride Sodium chloride 0,9% 1 mg/ml -20°C Protect from light
30 Day
573
Biological analysis

Polyvinyl chloride Sodium chloride 0,9% 1 mg/ml 25°C Light
48 Hour
434

Polyvinyl chloride Sodium chloride 0,9% 1 mg/ml 4°C Protect from light
48 Hour
434

Polyvinyl chloride Sodium chloride 0,9% 1,2 mg/ml -20°C Protect from light
28 Day
565
Level of evidence D

Polyvinyl chloride Glucose 5% 1 mg/ml -20°C Protect from light
30 Day
573
Biological analysis

Polyvinyl chloride Glucose 5% 1 mg/ml 25°C Light
48 Hour
434

conflicting data
Polyvinyl chloride Glucose 5% 1 mg/ml 4°C Protect from light
48 Hour
434

Polyvinyl chloride Glucose 5% 1,2 mg/ml -20°C Protect from light
28 Day
565
Level of evidence D

Polyvinyl chloride Glucose 5% 1,6 mg/ml -20°C Protect from light
30 Day
576
Biological analysis

Polyvinyl chloride Extraneal® (Baxter) 0,02 mg/ml 25°C Protect from light
14 Day
3888
Level of evidence D

Polyvinyl chloride Extraneal® (Baxter) 0,02 mg/ml 37°C Protect from light
14 Day
3888
Level of evidence D

Polyvinyl chloride Extraneal® (Baxter) 0,02 mg/ml 4°C Protect from light
14 Day
3888
Level of evidence D

Polyethylene Water for Injection 2,5 mg/ml 25°C With or without light
112 Day
3141
Level of evidence B

Ethylene vinyl acetate Sodium chloride 0,9% 0,85 mg/ml 23°C Protect from light
7 Day
1704
Level of evidence A+

Ethylene vinyl acetate Sodium chloride 0,9% 0,85 mg/ml 4°C Protect from light
30 Day
1704
Level of evidence A+

Polypropylen Syringe Sodium chloride 0,9% 30 mg/ml 22°C-23°C Light
48 Hour
639
Level of evidence D

Polyisoprene elastomer Sodium chloride 0,9% 0,5 & 5 mg/ml 25°C Not specified
24 Hour
604
Manufacturer's stability data

Polyisoprene elastomer Sodium chloride 0,9% 0,5 & 5 mg/ml 4°C Protect from light
10 Day
604
Manufacturer's stability data

Polyisoprene elastomer Glucose 5% 0,5 & 5 mg/ml 25°C Not specified
24 Hour
604
Manufacturer's stability data

conflicting data
Polyisoprene elastomer Glucose 5% 0,5 & 5 mg/ml 4°C Protect from light
10 Day
604
Manufacturer's stability data

Not specified Water for Injection 2,5 mg/ml 37°C Not specified
96 Hour
3952
Level of evidence A


  Mentions Légales