آخر تحديث :
27/01/2026
مضاد حيوي   Gentamicin sulfate  
حقن
قطرات العين
الاستقرار في حلول استقرار مخاليط العوامل التي تؤثر على الاستقرار التوافق طريقة التعاطي مراجع pdf
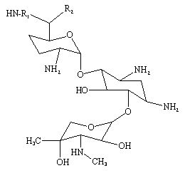
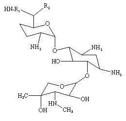
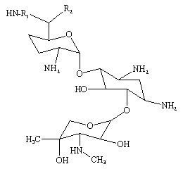
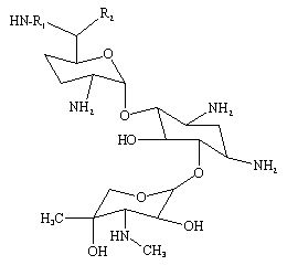
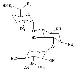
   التركيب الكيميائي  

حجز الاسم التجاري   حجز الاسم التجاري     

تحذير الأسماء التجاريه المختلفه قد تحتوي علي محتوي إضافات مختلفة حسب الدوله و المعمل

Azupel بيرو
Cidomycin بريطانيا العظمي, تونس, مصر
Dabroson يونان
Epigent مصر
Garalone البرتغال
Garamicina الإكوادور, البرازيل, المكسيك, كولومبيا
Garamycin الإمارات العربية المتحدة, الدنمارك, النرويج, الهند, بولندا, سويسرا, كرواتيا, مصر, هولندا, يونان
Genmisin تركيا
Gensif تركيا
Gensumycin السويد, النرويج, فنلندا
Genta-Gobens إسبانيا
Gentalline المغرب
Gentamen المغرب
Genticin الإمارات العربية المتحدة, ايرلندا, بريطانيا العظمي
Gentreks تركيا
Hexamycin الدنمارك
Plurisemina الأرجنتين
Refobacin ألمانيا, النمسا, كولومبيا, مصر
Rupegen الأرجنتين
الاستقرار في حلول   حقن   الاستقرار في حلول : Gentamicin sulfate     
حاوية مذيب تركيز درجة الحرارة تخزين مدة الاستقرار مراجع
زجاج كلوريد الصوديوم 0.9% 10 mg/ml 4°C بعيدا عن الضوء
84 يوم
1486
التحليل البيولوجي

البولي فينيل كلوريد كلوريد الصوديوم 0.9% 1 mg/ml -20°C بعيدا عن الضوء
30 يوم
573
التحليل البيولوجي

البولي فينيل كلوريد كلوريد الصوديوم 0.9% 1 mg/ml 25°C ضوء
48 ساعة
434

البولي فينيل كلوريد كلوريد الصوديوم 0.9% 1 mg/ml 4°C بعيدا عن الضوء
48 ساعة
434

البولي فينيل كلوريد كلوريد الصوديوم 0.9% 1,2 mg/ml -20°C بعيدا عن الضوء
28 يوم
565
D مستوى الأدلة

البولي فينيل كلوريد الجلوكوز %5 1 mg/ml -20°C بعيدا عن الضوء
30 يوم
573
التحليل البيولوجي

البولي فينيل كلوريد الجلوكوز %5 1 mg/ml 25°C ضوء
48 ساعة
434

بيانات متضاربة
البولي فينيل كلوريد الجلوكوز %5 1 mg/ml 4°C بعيدا عن الضوء
48 ساعة
434

البولي فينيل كلوريد الجلوكوز %5 1,2 mg/ml -20°C بعيدا عن الضوء
28 يوم
565
D مستوى الأدلة

البولي فينيل كلوريد الجلوكوز %5 1,6 mg/ml -20°C بعيدا عن الضوء
30 يوم
576
التحليل البيولوجي

البولي فينيل كلوريد Extraneal  (باكستر) 0,02 mg/ml 25°C بعيدا عن الضوء
14 يوم
3888
D مستوى الأدلة

البولي فينيل كلوريد Extraneal  (باكستر) 0,02 mg/ml 37°C بعيدا عن الضوء
14 يوم
3888
D مستوى الأدلة

البولي فينيل كلوريد Extraneal  (باكستر) 0,02 mg/ml 4°C بعيدا عن الضوء
14 يوم
3888
D مستوى الأدلة

البولي ايثيلين حقن المياه لل 2,5 mg/ml 25°C مع أو بدون ضوء
112 يوم
3141
B مستوى الأدلة

الإثيلين خلات الفينيل كلوريد الصوديوم 0.9% 0,85 mg/ml 23°C بعيدا عن الضوء
7 يوم
1704
 A+ مستوى الأدلة

الإثيلين خلات الفينيل كلوريد الصوديوم 0.9% 0,85 mg/ml 4°C بعيدا عن الضوء
30 يوم
1704
 A+ مستوى الأدلة

محقنة البولي بروبلين كلوريد الصوديوم 0.9% 30 mg/ml 22°C-23°C ضوء
48 ساعة
639
D مستوى الأدلة

ولي إيزوبرين إلاستومر كلوريد الصوديوم 0.9% 0,5 & 5 mg/ml 25°C لم يتم تحديد
24 ساعة
604
بيانات الشركة المصنعة \\ \'ق الاستقرار

ولي إيزوبرين إلاستومر كلوريد الصوديوم 0.9% 0,5 & 5 mg/ml 4°C بعيدا عن الضوء
10 يوم
604
بيانات الشركة المصنعة \\ \'ق الاستقرار

ولي إيزوبرين إلاستومر الجلوكوز %5 0,5 & 5 mg/ml 25°C لم يتم تحديد
24 ساعة
604
بيانات الشركة المصنعة \\ \'ق الاستقرار

بيانات متضاربة
ولي إيزوبرين إلاستومر الجلوكوز %5 0,5 & 5 mg/ml 4°C بعيدا عن الضوء
10 يوم
604
بيانات الشركة المصنعة \\ \'ق الاستقرار

لم يتم تحديد حقن المياه لل 2,5 mg/ml 37°C لم يتم تحديد
96 ساعة
3952
A مستوى الأدلة


  Mentions Légales