Senaste uppdateringen :
27/01/2026
Antibiotikum   Gentamicin sulfate  
injektion
ögondroppar
Lösningars stabilitet Stabilitet i blandningar Faktorer som påverkar stabiliteten Kompatibilitet Administreringssätt Hänvisningar pdf
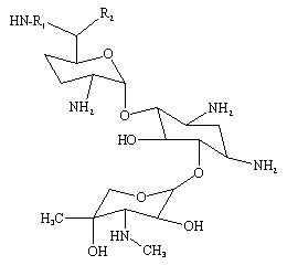
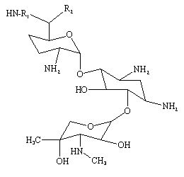
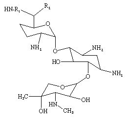
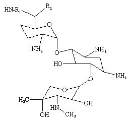
   Molekylstruktur  

Varunamn   Varunamn     

Angivna handelsnamn på läkemedel är enbart vägledande då formulering inklusive hjälpämnen kan variera mellan länder och tillverkare

Azupel Peru
Cidomycin Egypten, Storbritannien, Tunisien
Dabroson Grekland
Epigent Egypten
Garalone Portugal
Garamicina Brasilien, Colombia, Ecuador, Mexiko
Garamycin Danmark, Egypten, Förenade Arabemiraten, Grekland, Indien, Kroatien, Nederländerna, Norge, Polen, Schweiz
Genmisin Turkiet
Gensif Turkiet
Gensumycin Finland, Norge, Sverige
Genta-Gobens Spanien
Gentalline Marocko
Gentamen Marocko
Genticin Förenade Arabemiraten, Irland, Storbritannien
Gentreks Turkiet
Hexamycin Danmark
Plurisemina Argentina
Refobacin Colombia, Egypten, Österrike, Tyskland
Rupegen Argentina
Lösningars stabilitet   injektion   Lösningars stabilitet : Gentamicin sulfate     
Behållare Lösningsmedel Koncentration Temperatur Förvaring Stabilitets varaktighet Hänvisningar
Glas Natriumklorid 0,9 % 10 mg/ml 4°C Skyddas från ljus
84 Dag
1486
Biologisk analys

Polyvinylklorid Natriumklorid 0,9 % 1 mg/ml -20°C Skyddas från ljus
30 Dag
573
Biologisk analys

Polyvinylklorid Natriumklorid 0,9 % 1 mg/ml 25°C Ljus
48 Timma
434

Polyvinylklorid Natriumklorid 0,9 % 1 mg/ml 4°C Skyddas från ljus
48 Timma
434

Polyvinylklorid Natriumklorid 0,9 % 1,2 mg/ml -20°C Skyddas från ljus
28 Dag
565
Evidensnivå D

Polyvinylklorid Glukos 5 % 1 mg/ml -20°C Skyddas från ljus
30 Dag
573
Biologisk analys

Polyvinylklorid Glukos 5 % 1 mg/ml 25°C Ljus
48 Timma
434

motstridiga uppgifter
Polyvinylklorid Glukos 5 % 1 mg/ml 4°C Skyddas från ljus
48 Timma
434

Polyvinylklorid Glukos 5 % 1,2 mg/ml -20°C Skyddas från ljus
28 Dag
565
Evidensnivå D

Polyvinylklorid Glukos 5 % 1,6 mg/ml -20°C Skyddas från ljus
30 Dag
576
Biologisk analys

Polyvinylklorid Extraneal® (Baxter) 0,02 mg/ml 25°C Skyddas från ljus
14 Dag
3888
Evidensnivå D

Polyvinylklorid Extraneal® (Baxter) 0,02 mg/ml 37°C Skyddas från ljus
14 Dag
3888
Evidensnivå D

Polyvinylklorid Extraneal® (Baxter) 0,02 mg/ml 4°C Skyddas från ljus
14 Dag
3888
Evidensnivå D

Polyetylen Vatten för injektion 2,5 mg/ml 25°C Med eller utan ljus
112 Dag
3141
Evidensnivå B

Etylenvinylacetat Natriumklorid 0,9 % 0,85 mg/ml 23°C Skyddas från ljus
7 Dag
1704
Evidensnivå A+

Etylenvinylacetat Natriumklorid 0,9 % 0,85 mg/ml 4°C Skyddas från ljus
30 Dag
1704
Evidensnivå A+

Spruta polypropen Natriumklorid 0,9 % 30 mg/ml 22°C-23°C Ljus
48 Timma
639
Evidensnivå D

Polyisopren elastomer Natriumklorid 0,9 % 0,5 & 5 mg/ml 25°C Ej angiven
24 Timma
604
Tillverkarens stabilitetsuppgifter

Polyisopren elastomer Natriumklorid 0,9 % 0,5 & 5 mg/ml 4°C Skyddas från ljus
10 Dag
604
Tillverkarens stabilitetsuppgifter

Polyisopren elastomer Glukos 5 % 0,5 & 5 mg/ml 25°C Ej angiven
24 Timma
604
Tillverkarens stabilitetsuppgifter

motstridiga uppgifter
Polyisopren elastomer Glukos 5 % 0,5 & 5 mg/ml 4°C Skyddas från ljus
10 Dag
604
Tillverkarens stabilitetsuppgifter

Ej angiven Vatten för injektion 2,5 mg/ml 37°C Ej angiven
96 Timma
3952
Evidensnivå A


  Mentions Légales