Posledná aktualizácia :
27/11/2025
antibiotikum   Gentamicin sulfate  
Injekcia
Očná instilácia
Stabilita roztokov Stabilita v zmesiach Faktory ovplyvňujúce stabilitu Kompatibility spôsob podania Odkazy na literatúru PDF
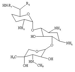
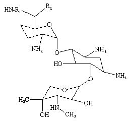
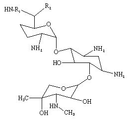
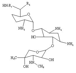
   Chemický vzorec  

Obchodný názov   Obchodný názov     

Obchodné názvy sú orientačné, a zloženie pomocných látok sa môže líšiť v závislosti od krajiny a výrobcu.

Azupel peru
Cidomycin Egypt, Tunisko, Veľká Británia
Dabroson Grécko
Epigent Egypt
Garalone Portugalsko
Garamicina Brazília, Ekvádor, Kolumbia, Mexiko
Garamycin Chorvátsko, Dánsko, Egypt, Grécko, Holandsko, India, Nórsko, Poľsko, Spojené arabské emiráty, Švajčiarsko
Genmisin Turecko
Gensif Turecko
Gensumycin Fínsko, Nórsko, Švédsko
Genta-Gobens Španielsko
Gentalline Maroko
Gentamen Maroko
Genticin Írsko, Spojené arabské emiráty, Veľká Británia
Gentreks Turecko
Hexamycin Dánsko
Plurisemina Argentína
Refobacin Egypt, Kolumbia, Nemecko, Rakúsko
Rupegen Argentína
Stabilita roztokov   Injekcia   Stabilita roztokov : Gentamicin sulfate     
obal rozpúšťadlo koncentrácia teplota uchovávanie Trvanie stability odkazy na lieteratúru
Sklo 0,9% chlorid sodný 10 mg/ml 4°C Chránené pred svetlom
84 dní
1486
biologická analýza

polyvinylchlorid (PVC) 0,9% chlorid sodný alebo 5% glukóza 1 mg/ml -20°C Chránené pred svetlom
30 dní
573
biologická analýza

polyvinylchlorid (PVC) 0,9% chlorid sodný alebo 5% glukóza 1 mg/ml 4°C Chránené pred svetlom
48 hodín
434

polyvinylchlorid (PVC) 0,9% chlorid sodný alebo 5% glukóza 1,2 mg/ml -20°C Chránené pred svetlom
28 dní
565
Úroveň dôkazov D

polyvinylchlorid (PVC) 0,9% chlorid sodný 1 mg/ml 25°C Za svetla
48 hodín
434

polyvinylchlorid (PVC) 5% glukóza 1 mg/ml 25°C Za svetla
48 hodín
434

konfliktné údaje
polyvinylchlorid (PVC) 5% glukóza 1,6 mg/ml -20°C Chránené pred svetlom
30 dní
576
biologická analýza

polyvinylchlorid (PVC) Extraneal® (Baxter) 0,02 mg/ml 25°C Chránené pred svetlom
14 dní
3888
Úroveň dôkazov D

polyvinylchlorid (PVC) Extraneal® (Baxter) 0,02 mg/ml 37°C Chránené pred svetlom
14 dní
3888
Úroveň dôkazov D

polyvinylchlorid (PVC) Extraneal® (Baxter) 0,02 mg/ml 4°C Chránené pred svetlom
14 dní
3888
Úroveň dôkazov D

polyetylén voda na injekciu 2,5 mg/ml 25°C Za svetla alebo chránené pred svetlom
112 dní
3141
Úroveň dôkazov B

etylénvinylacetát 0,9% chlorid sodný 0,85 mg/ml 23°C Chránené pred svetlom
7 dní
1704
Úroveň dôkazov A+

etylénvinylacetát 0,9% chlorid sodný 0,85 mg/ml 4°C Chránené pred svetlom
30 dní
1704
Úroveň dôkazov A+

Injekčná striekačka polypropylén 0,9% chlorid sodný 30 mg/ml 22°C-23°C Za svetla
48 hodín
639
Úroveň dôkazov D

Polyizoprénový elastomer 0,9% chlorid sodný alebo 5% glukóza 0,5 & 5 mg/ml 4°C Chránené pred svetlom
10 dní
604
Údaje o stabilite od výrobcu

Polyizoprénový elastomer 0,9% chlorid sodný 0,5 & 5 mg/ml 25°C nešpecifikované
24 hodín
604
Údaje o stabilite od výrobcu

Polyizoprénový elastomer 5% glukóza 0,5 & 5 mg/ml 25°C nešpecifikované
24 hodín
604
Údaje o stabilite od výrobcu

konfliktné údaje
nešpecifikované voda na injekciu 2,5 mg/ml 37°C nešpecifikované
96 hodín
3952
Úroveň dôkazov A


  Mentions Légales