Son güncelleme :
27/01/2026
Antibiyotik   Gentamicin sulfate  
Enjeksiyon
Göz damlası
Çözeltilerin stabilitesi Karışımlardaki stabilitesi Stabiliteyi etkileyen faktörler Uyumluluk Uygulama yöntemi Kaynaklar pdf
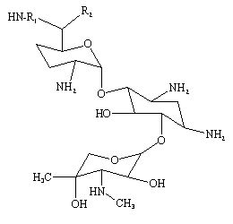
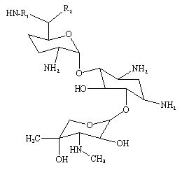
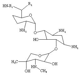
   Kimyasal yapı   

Ticari isim   Ticari isim     

Trade names are indicative and excipients composition can be different depending on the country and manufacturers

Azupel Peru
Cidomycin Büyük Britanya, Mısır, Tunus
Dabroson Yunanistan
Epigent Mısır
Garalone Portekiz
Garamicina Brezilya, Ekvador, Kolombiya, Meksika
Garamycin Birleşik Arap Emirlikleri, Danimarka, Hindistan, Hırvatistan, Hollanda, İsviçre, Mısır, Norveç, Polonya, Yunanistan
Genmisin Türkiye
Gensif Türkiye
Gensumycin Finlandiya, İsveç, Norveç
Genta-Gobens İspanya
Gentalline Fas
Gentamen Fas
Genticin Birleşik Arap Emirlikleri, Büyük Britanya, İrlanda
Gentreks Türkiye
Hexamycin Danimarka
Plurisemina Arjantin
Refobacin Almanya, Avusturya, Kolombiya, Mısır
Rupegen Arjantin
Çözeltilerin stabilitesi   Enjeksiyon    Çözeltilerin stabilitesi : Gentamicin sulfate     
Saklama kabı Çözücü Konsantrasyon Isı Saklama    Stabilite süresi Kaynaklar
Cam Sodyum klorür % 0,9 10 mg/ml 4°C Işıktan koruyunuz
84 Gün
1486
biyolojik analiz

Polivinil klorür Sodyum klorür % 0,9 1 mg/ml -20°C Işıktan koruyunuz
30 Gün
573
biyolojik analiz

Polivinil klorür Sodyum klorür % 0,9 1 mg/ml 25°C I_ık
48 Zaman
434

Polivinil klorür Sodyum klorür % 0,9 1 mg/ml 4°C Işıktan koruyunuz
48 Zaman
434

Polivinil klorür Sodyum klorür % 0,9 1,2 mg/ml -20°C Işıktan koruyunuz
28 Gün
565
Kanıt düzeyi D

Polivinil klorür Glukoz %5 1 mg/ml -20°C Işıktan koruyunuz
30 Gün
573
biyolojik analiz

Polivinil klorür Glukoz %5 1 mg/ml 25°C I_ık
48 Zaman
434

çelişkili veriler
Polivinil klorür Glukoz %5 1 mg/ml 4°C Işıktan koruyunuz
48 Zaman
434

Polivinil klorür Glukoz %5 1,2 mg/ml -20°C Işıktan koruyunuz
28 Gün
565
Kanıt düzeyi D

Polivinil klorür Glukoz %5 1,6 mg/ml -20°C Işıktan koruyunuz
30 Gün
576
biyolojik analiz

Polivinil klorür Extraneal® (Baxter) 0,02 mg/ml 25°C Işıktan koruyunuz
14 Gün
3888
Kanıt düzeyi D

Polivinil klorür Extraneal® (Baxter) 0,02 mg/ml 37°C Işıktan koruyunuz
14 Gün
3888
Kanıt düzeyi D

Polivinil klorür Extraneal® (Baxter) 0,02 mg/ml 4°C Işıktan koruyunuz
14 Gün
3888
Kanıt düzeyi D

Polietilen Enjeksiyonluk su 2,5 mg/ml 25°C Işıklı veya ışıksız
112 Gün
3141
Kanıt düzeyi B

Etilen vinil asetat (EVA) Sodyum klorür % 0,9 0,85 mg/ml 23°C Işıktan koruyunuz
7 Gün
1704
Kanıt düzeyi A+

Etilen vinil asetat (EVA) Sodyum klorür % 0,9 0,85 mg/ml 4°C Işıktan koruyunuz
30 Gün
1704
Kanıt düzeyi A+

Şırınga polipropilen Sodyum klorür % 0,9 30 mg/ml 22°C-23°C I_ık
48 Zaman
639
Kanıt düzeyi D

poliizopren elastomer Sodyum klorür % 0,9 0,5 & 5 mg/ml 25°C Belirtilmemiş
24 Zaman
604
Üreticinin stabilite verileri

poliizopren elastomer Sodyum klorür % 0,9 0,5 & 5 mg/ml 4°C Işıktan koruyunuz
10 Gün
604
Üreticinin stabilite verileri

poliizopren elastomer Glukoz %5 0,5 & 5 mg/ml 25°C Belirtilmemiş
24 Zaman
604
Üreticinin stabilite verileri

çelişkili veriler
poliizopren elastomer Glukoz %5 0,5 & 5 mg/ml 4°C Işıktan koruyunuz
10 Gün
604
Üreticinin stabilite verileri

Belirtilmemiş Enjeksiyonluk su 2,5 mg/ml 37°C Belirtilmemiş
96 Zaman
3952
Kanıt düzeyi A


  Mentions Légales