Останнє оновлення :
27/04/2026
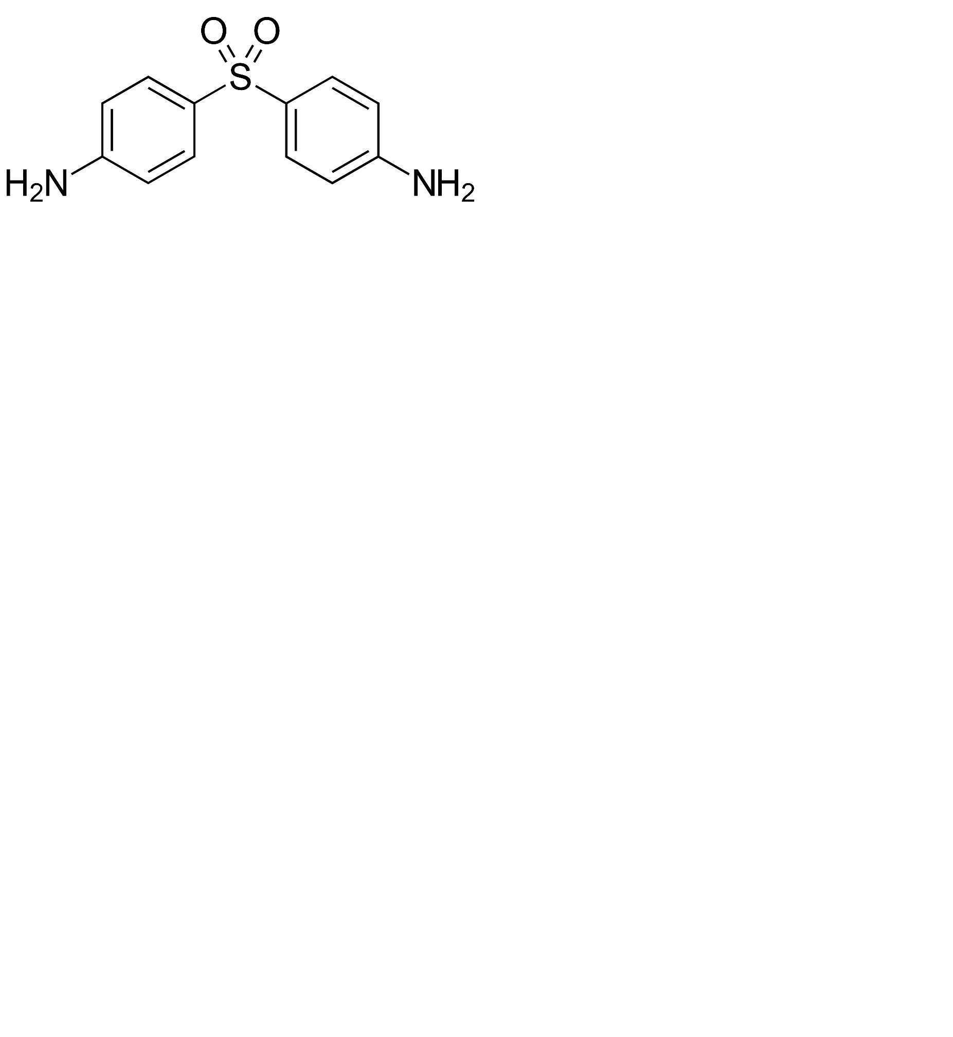
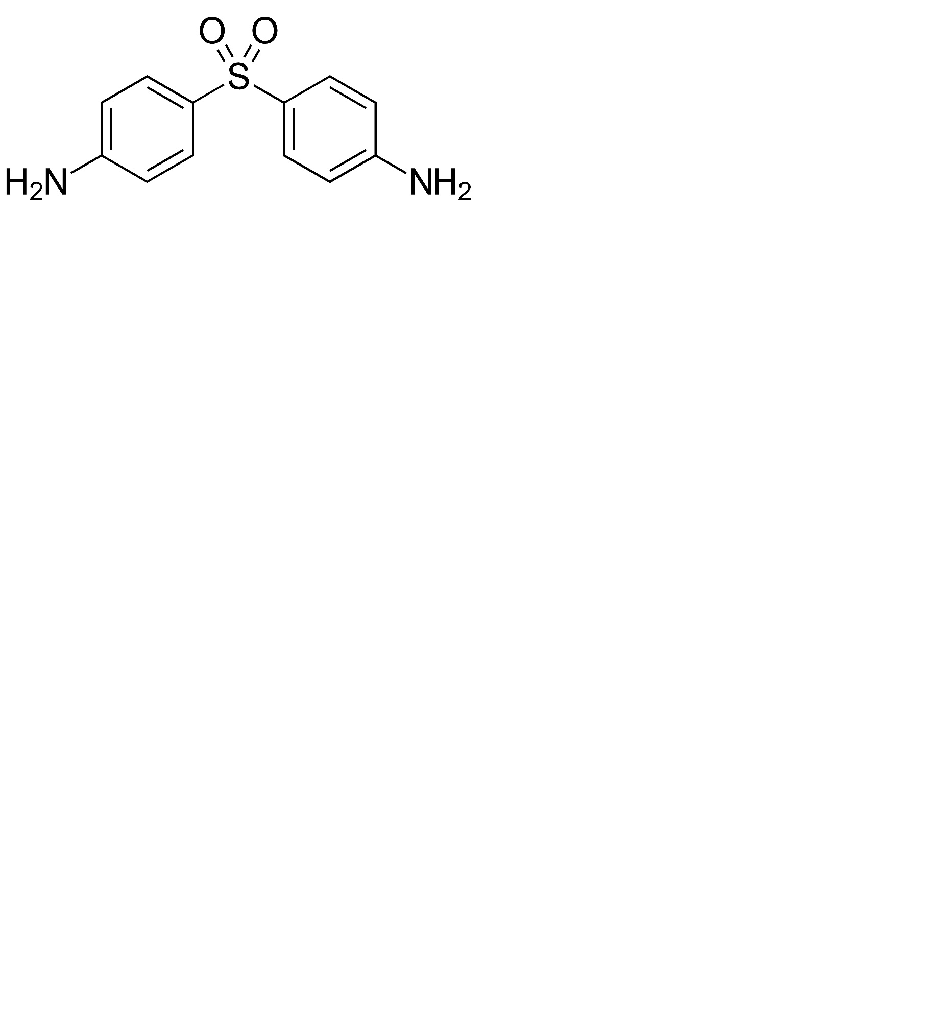
Антибіотик   Dapsone  
Мазі
Розчин для перорального застосування
Стабільність фармацевтичних препаратів Стійкість сумішей Фактори, що впливають на стабільність Сумісність Список літератури pdf
   Хімічна структура  

Мазі
Стійкість сумішей   Мазі   Стійкість сумішей : Dapsone     
7 / 5 000 Résultats de traduction Немає даних

  Mentions Légales