Τελευταία ενημέρωση :
27/04/2026
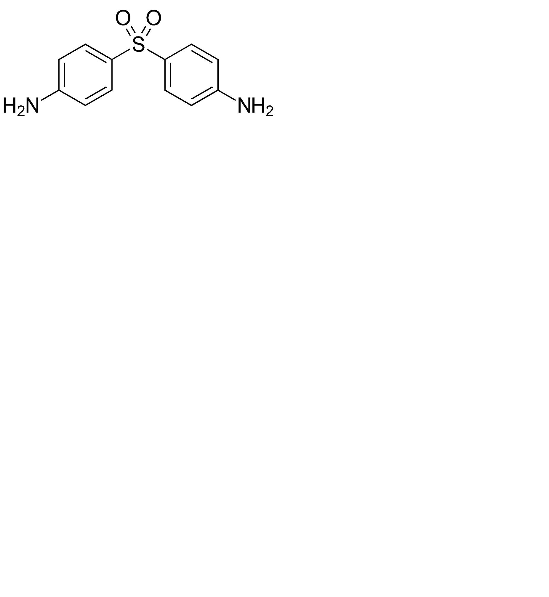
Αντιβιοτικό   Dapsone  
Αλοιφές
Πόσιμο διάλυμα
Σταθερότητα και συμβατότητα των φαρμάκων Σταθερότητα σε μίγματα Παράγοντας που επηρεάζει τη σταθερότητα Συμβατότητες Βιβλιογραφία pdf
   χημική δομή  

Αλοιφές
Σταθερότητα σε μίγματα   Αλοιφές   Σταθερότητα σε μίγματα : Dapsone     
Δεν υπάρχουν πληροφορίες

  Mentions Légales