Ultimo aggiornamento :
27/04/2026
Antibiotico   Dapsone  
Unguenti
Soluzione orale
Stabilità dei preparati farmaceutici Stabilità in miscela Fattori che influenzano la stabilità Compatibilità Bibliografia pdf
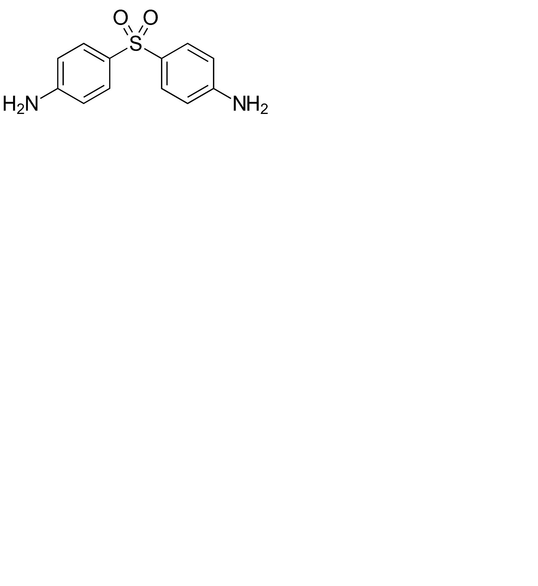
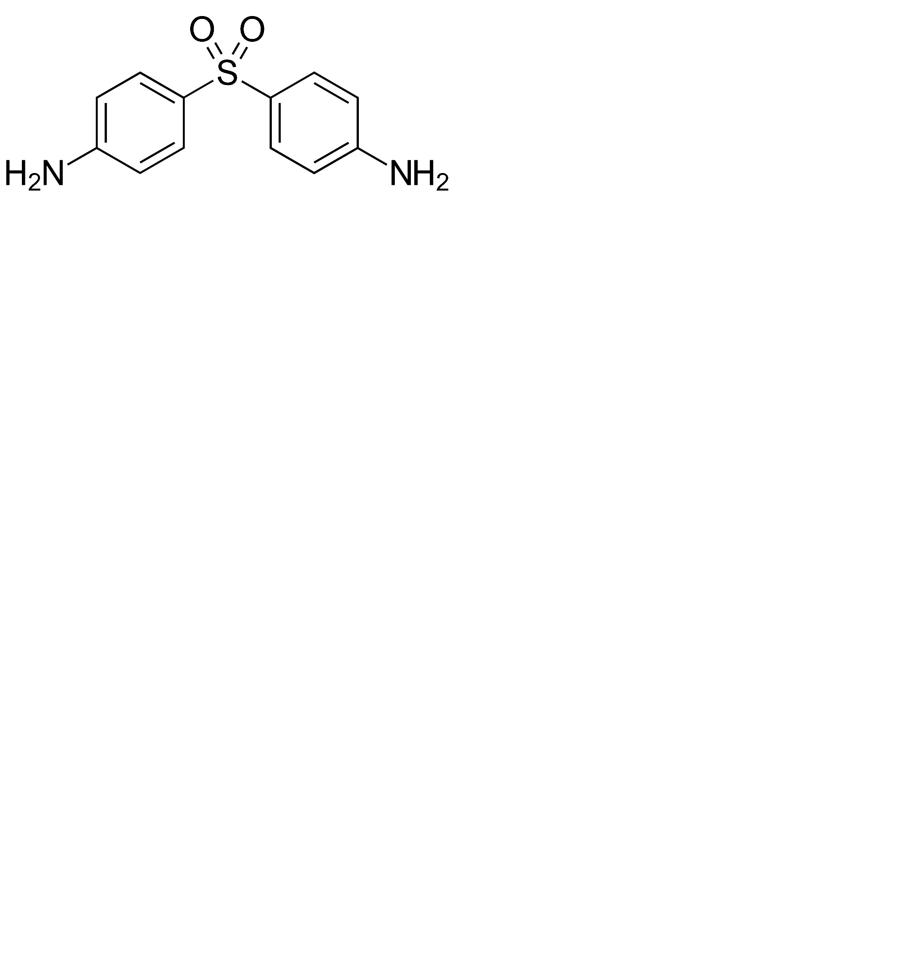
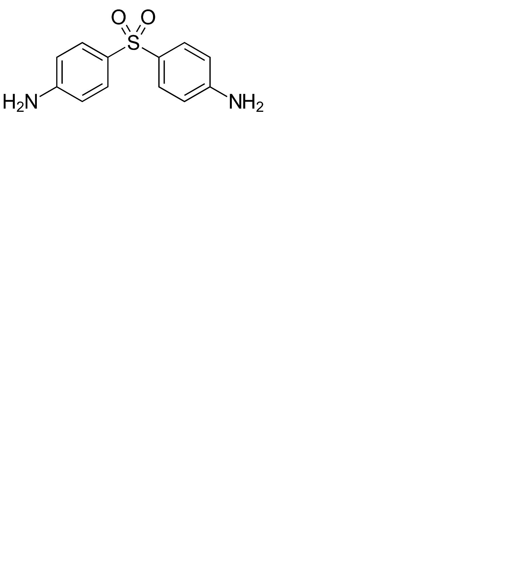
   Struttura chimica  

Unguenti
Stabilità in miscela   Unguenti   Stabilità in miscela : Dapsone     
Assenza di dati

  Mentions Légales