Letztes “update” :
27/04/2026
Antibiotikum   Dapsone  
Salben
Lösung zum Einnehmen
Stabilität von pharmazeutischen Präparaten Gemengestabilität Stabilitätbeeinflussende Faktoren Kompatibilitäten Literaturverzeichnis pdf
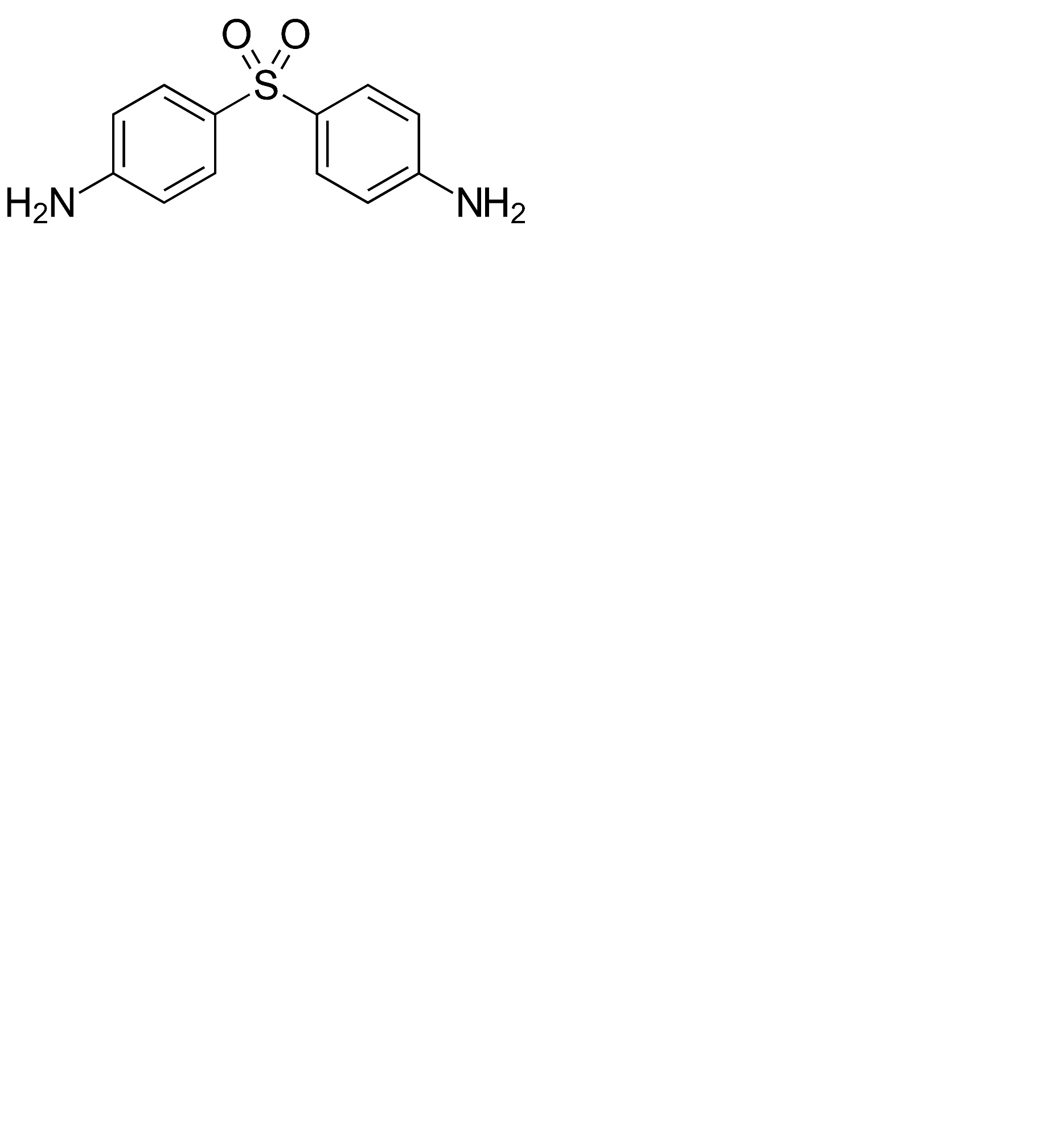
   Chemische Struktur  

Salben
Gemengestabilität   Salben   Gemengestabilität : Dapsone     
Keine Daten

  Mentions Légales