Zadnji put ažurirano :
27/04/2026
antibiotik   Dapsone  
masti
oralna otopina
Stabilnost farmaceutskih pripravaka Stabilnost mješavine Stabilizacijski faktor Kompatibilnosti Bibliografija pdf
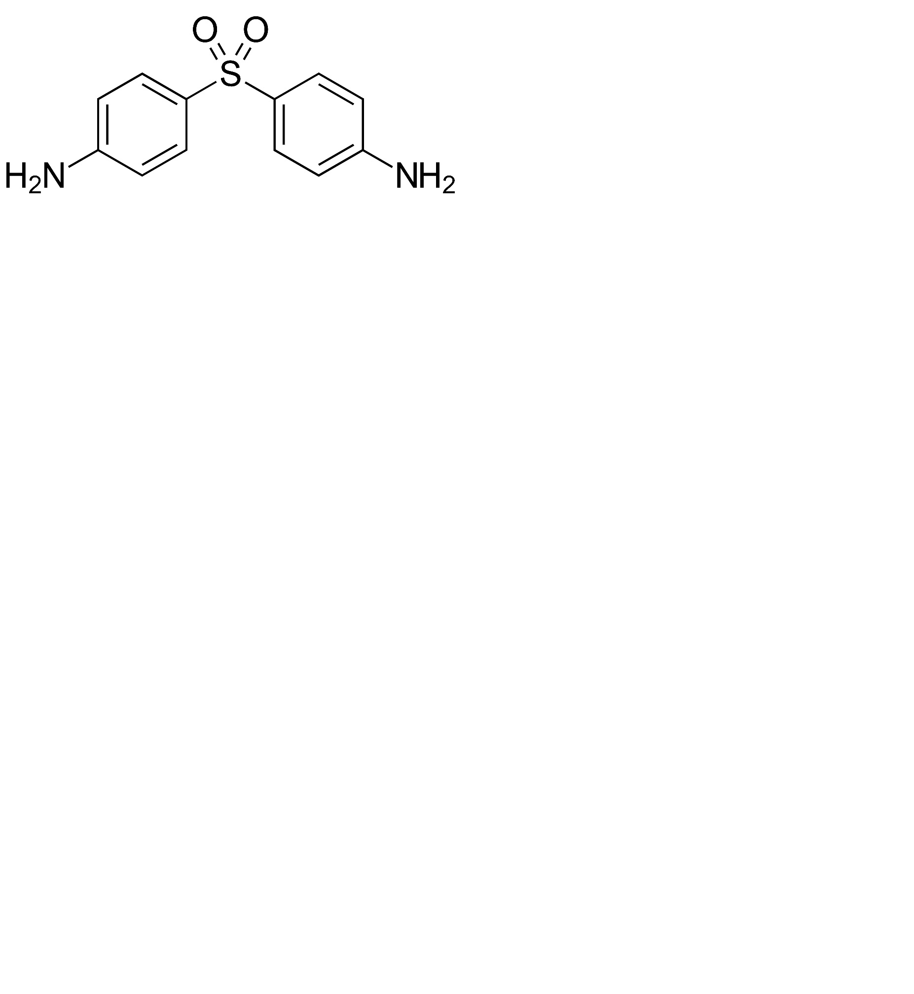
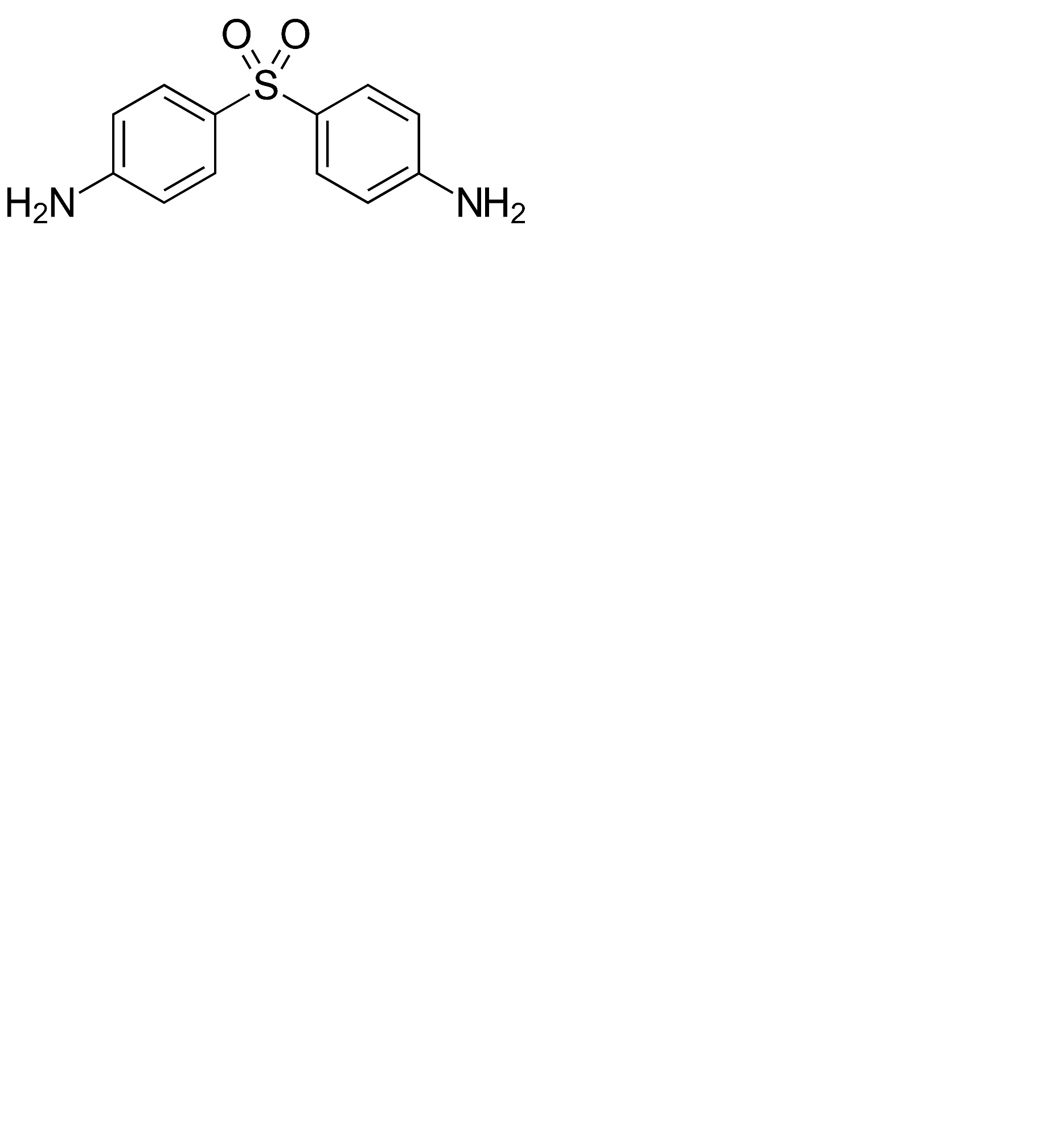
   Kemijska struktura  

masti
Stabilnost mješavine   masti   Stabilnost mješavine : Dapsone     
bez podataka

  Mentions Légales