Poslední aktualizace :
27/04/2026
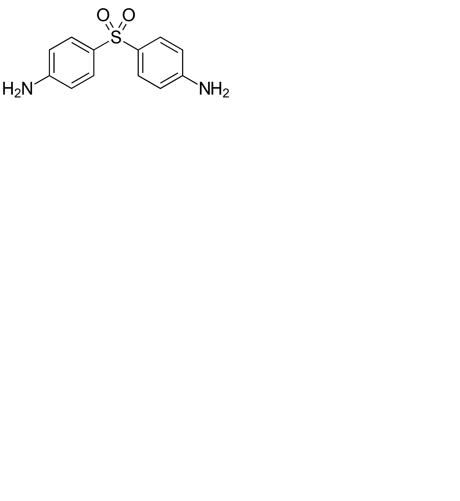
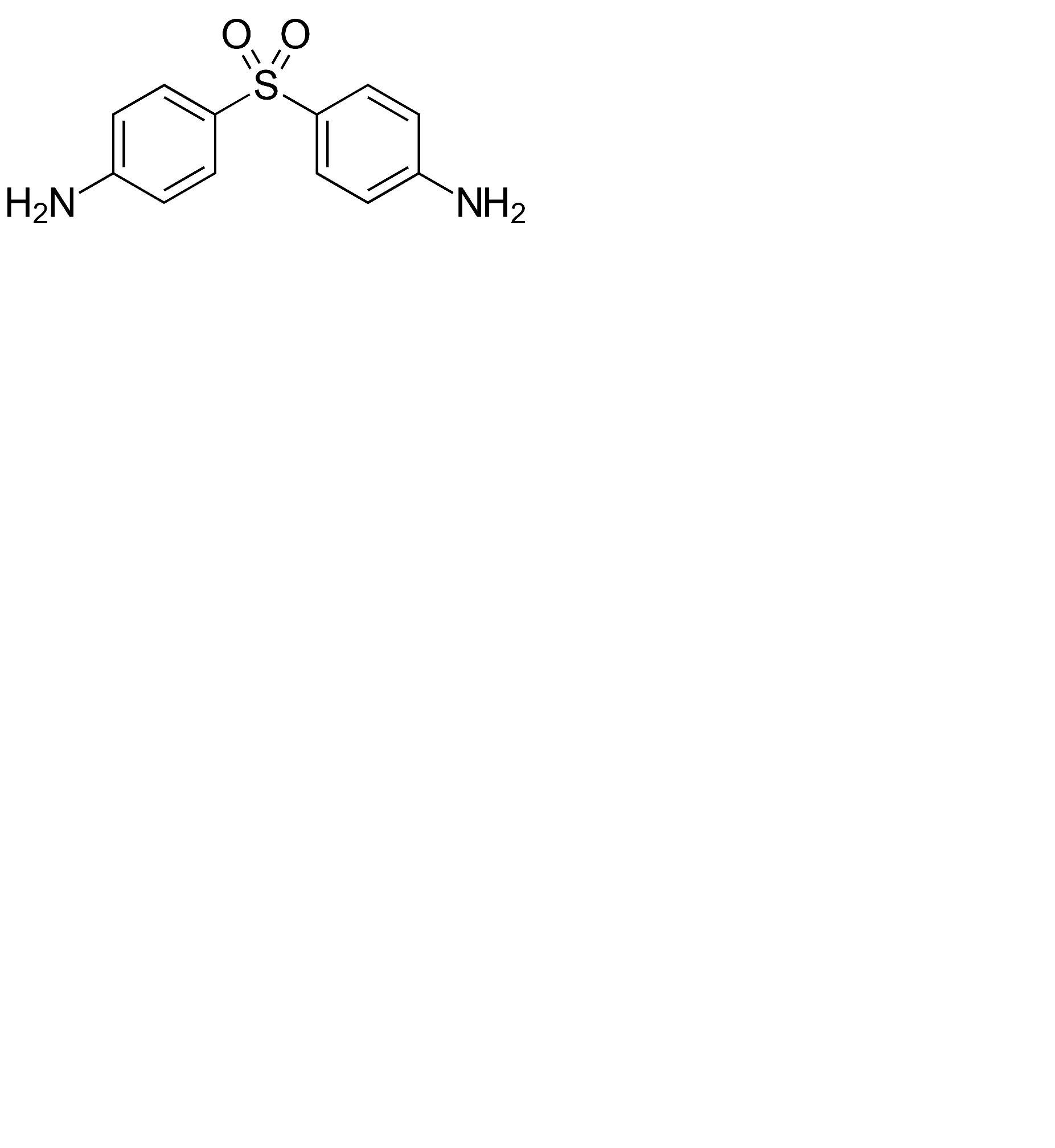
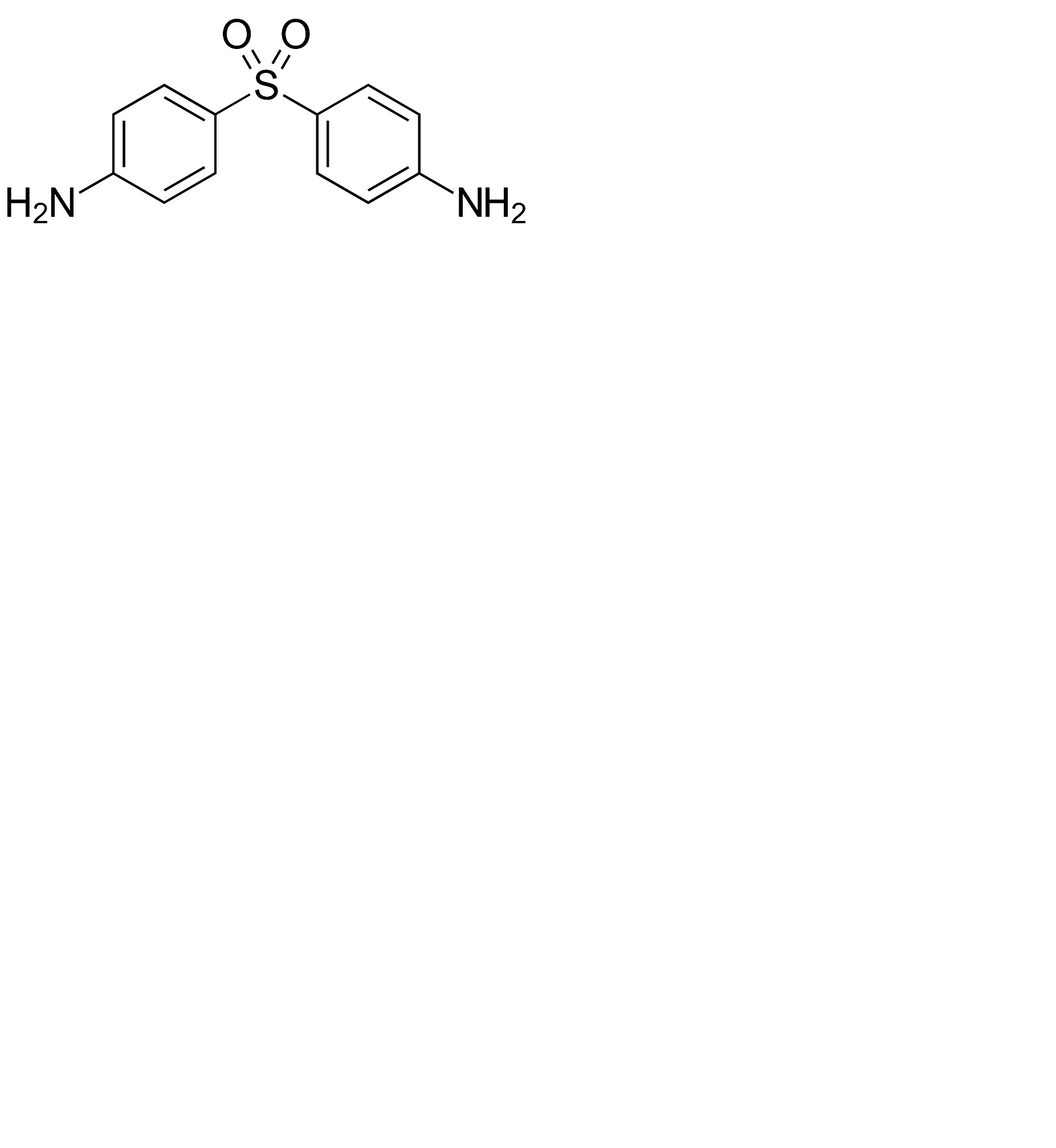
Antibiotikas   Dapsone  
Tepalai
Geriamas tirpalas
Stabilumas farmacinių preparatų Mišinių stabilumas Stabilumą lemiantys veiksniai Suderinamumas Bibliografija pdf
   Cheminė sandara  

Tepalai
Mišinių stabilumas   Tepalai   Mišinių stabilumas : Dapsone     
Nėra duomenų

  Mentions Légales