Son güncelleme :
27/04/2026
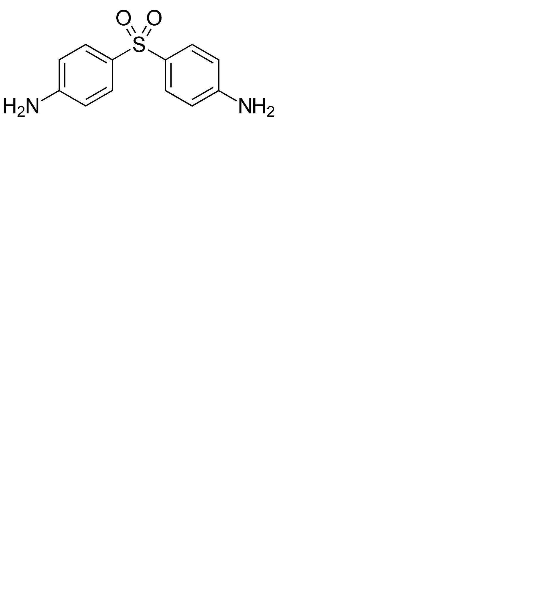
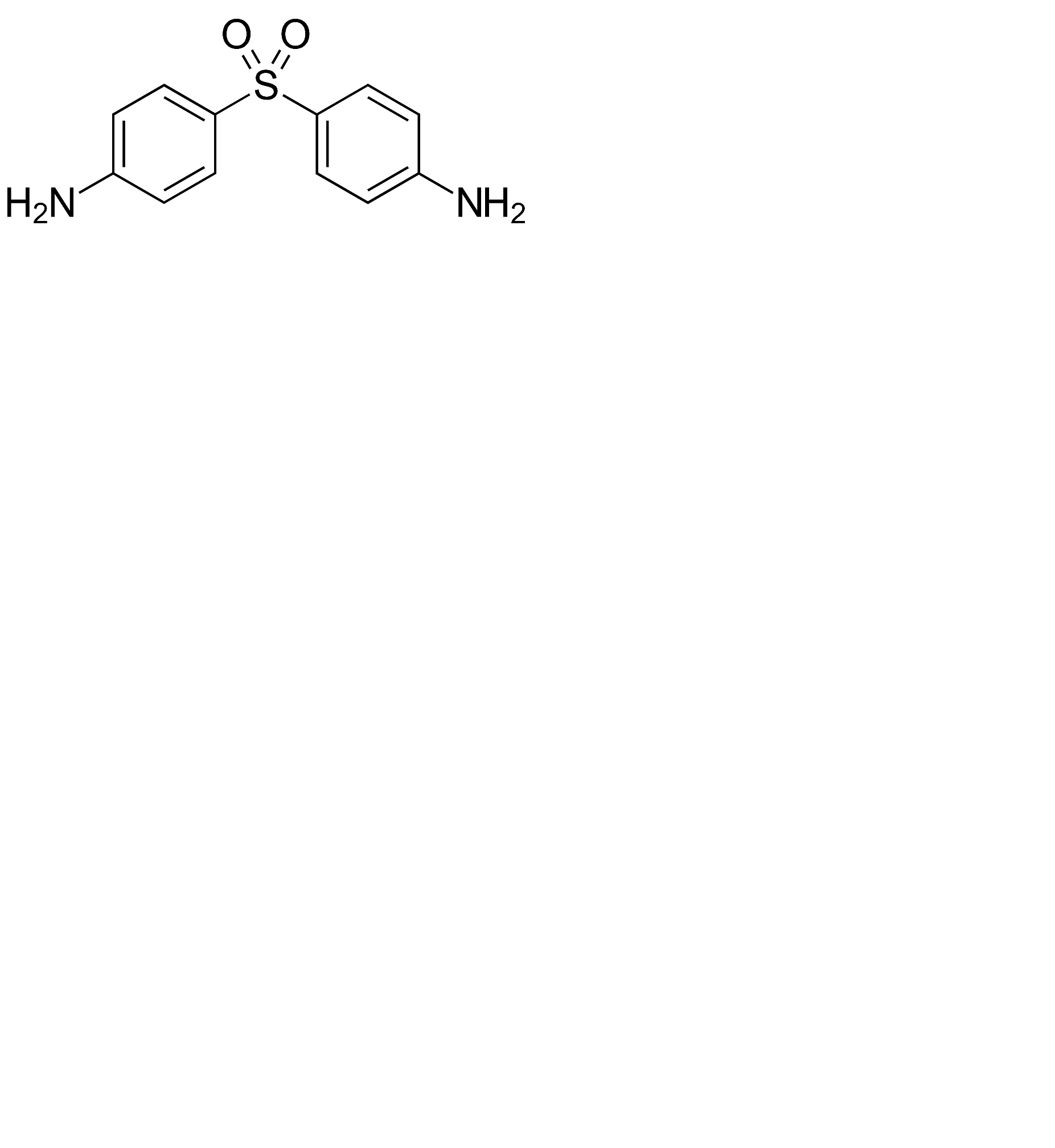
Antibiyotik   Dapsone  
Merhem
Oral solüsyon / oral çözelti
Farmasötik preparatlar Kararlılığı Karışımlardaki stabilitesi Stabiliteyi etkileyen faktörler Uyumluluk Kaynaklar pdf
   Kimyasal yapı   

Merhem
Karışımlardaki stabilitesi   Merhem   Karışımlardaki stabilitesi : Dapsone     
veri yok

  Mentions Légales