Utolsó frissítés :
27/04/2026
Antibiotikum   Dapsone  
kenőcs
belsőleges oldat
Stabilitása gyógyszerészeti készítmények A keverékek stabilitása Stabilitást befolyásoló tényezők Kompatibilitás Irodalom pdf
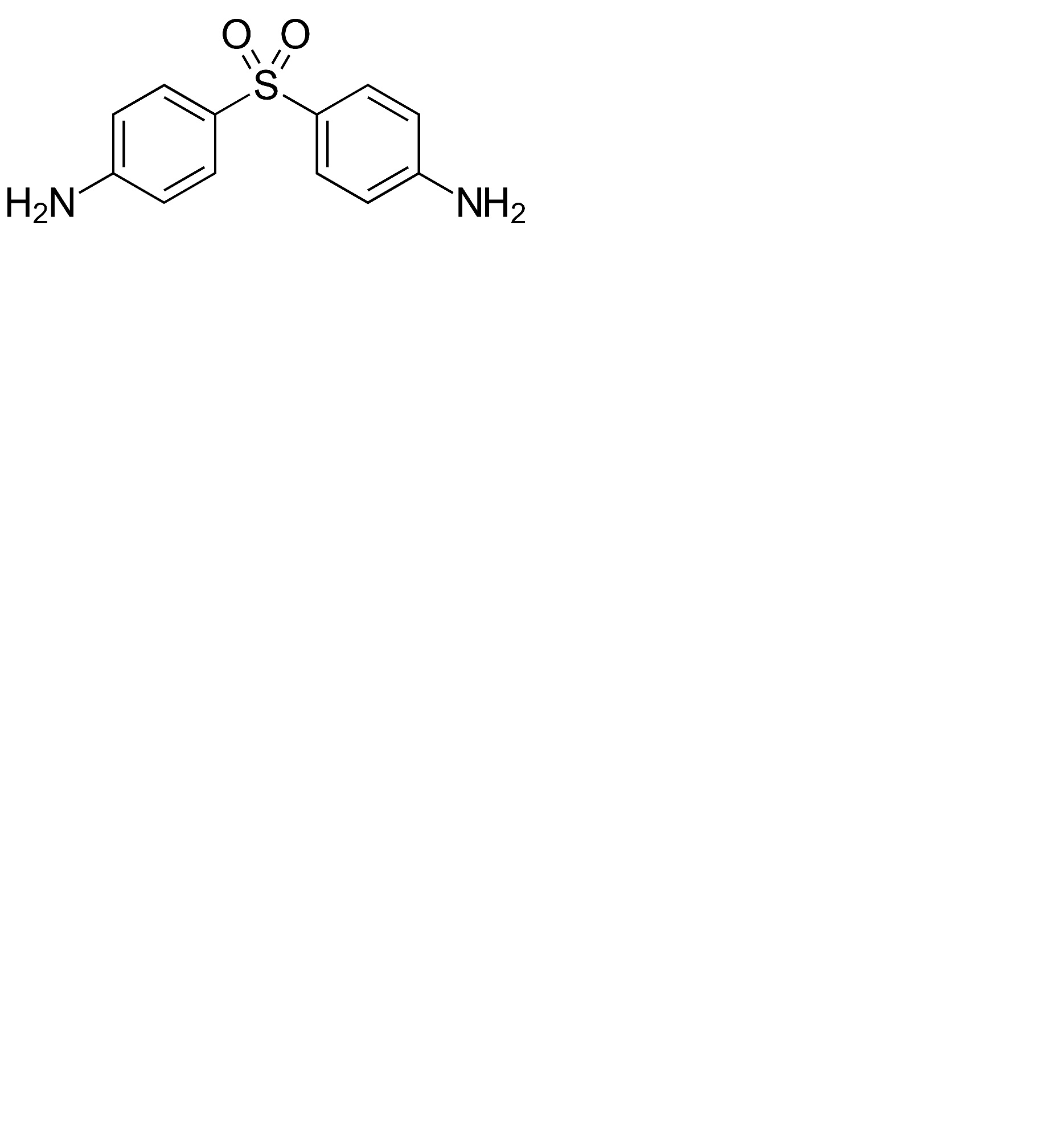
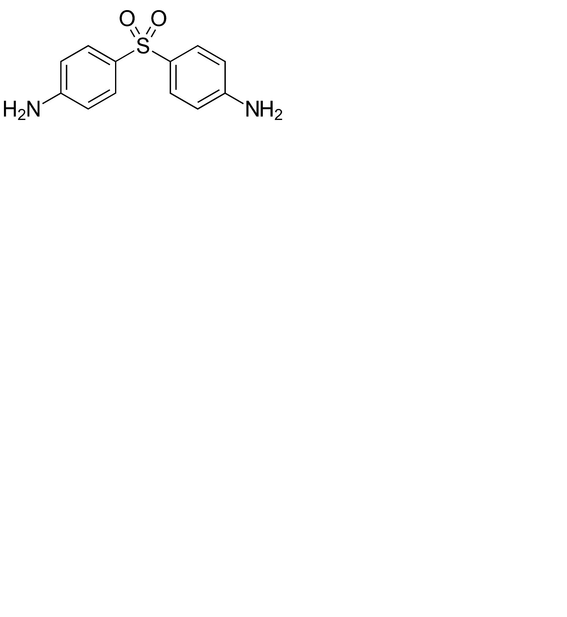
   Kémiai szerkezet   

kenőcs
A keverékek stabilitása   kenőcs   A keverékek stabilitása : Dapsone     
Hiányzó adat

  Mentions Légales