Последнее обновление :
27/04/2026
Антибиотик   Dapsone  
Мази
Раствор для перорального приёма
Стабильность фармацевтических препаратов Стабильность смесей Факторы, которые влияют на стабильность Совместимость Библиография pdf
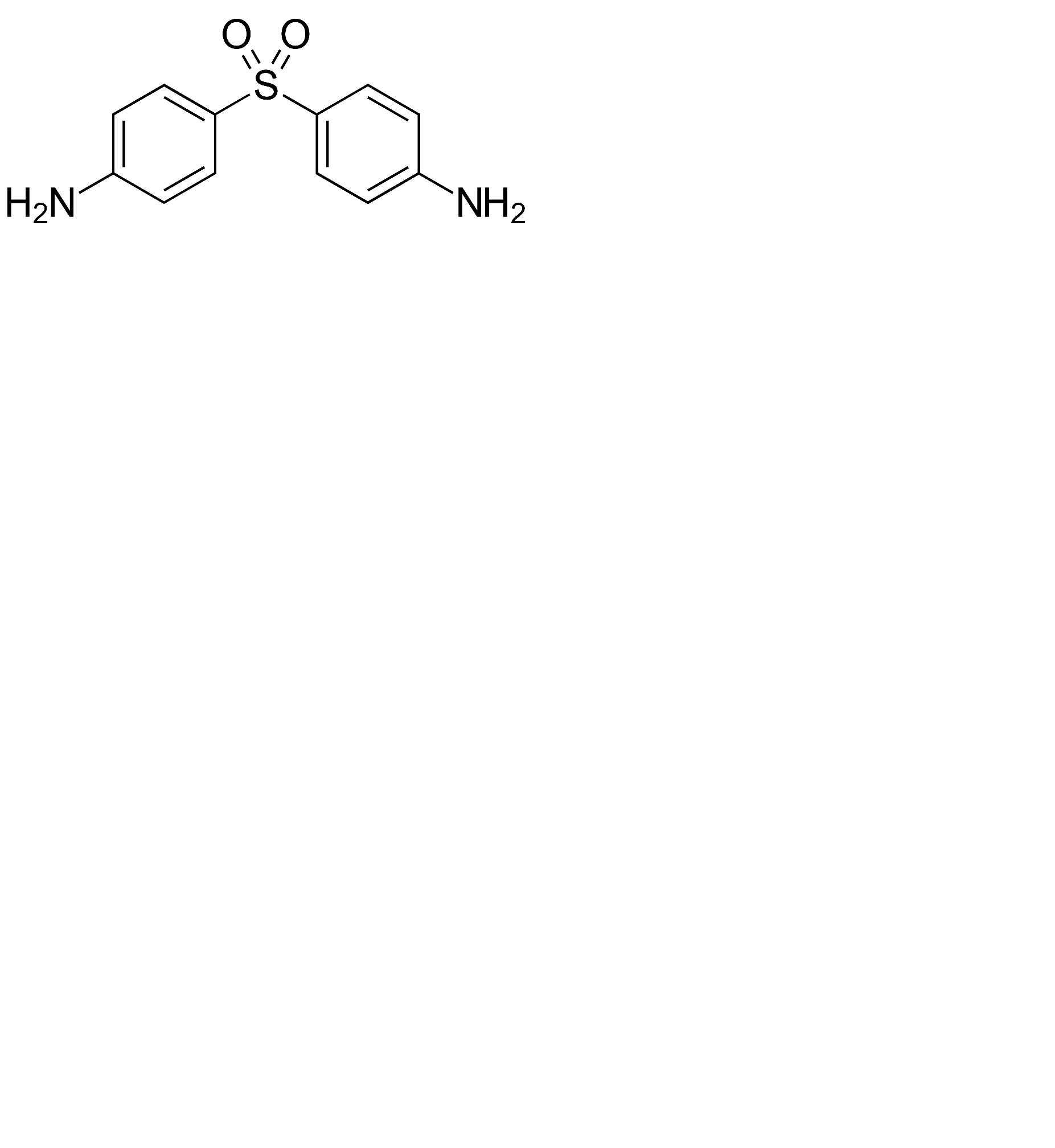
   Химическая структура  

Мази
Стабильность смесей   Мази   Стабильность смесей : Dapsone     
данных нет

  Mentions Légales