Последно актуализиране :
27/04/2026
Антибиотик   Dapsone  
Унгвент/Унгвенти
Орален разтвор
Стабилност на лекарствени препарати Стабилност на смеси Фактори, повлияващи стабилността Съвместимост Библиография Pdf
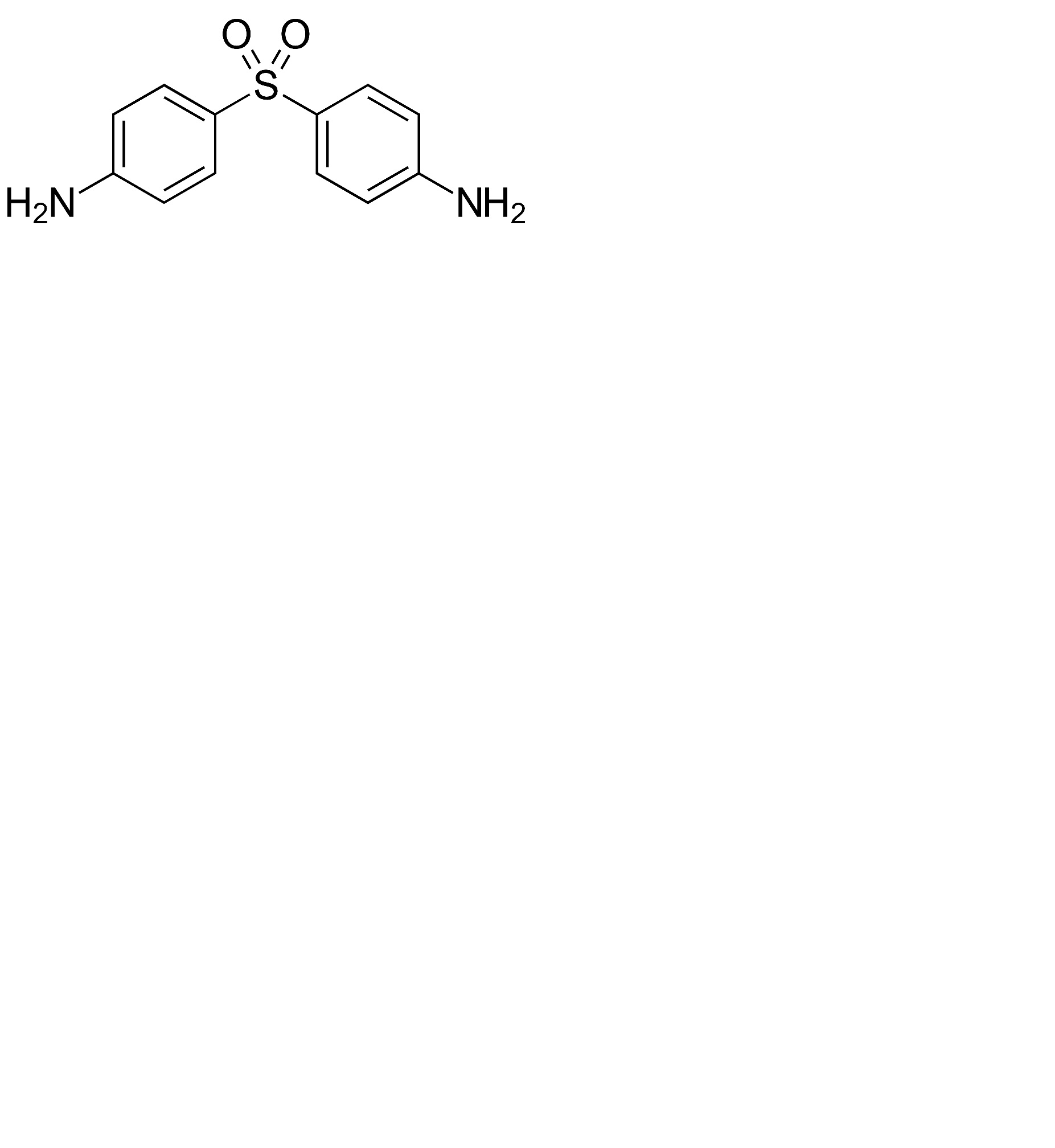
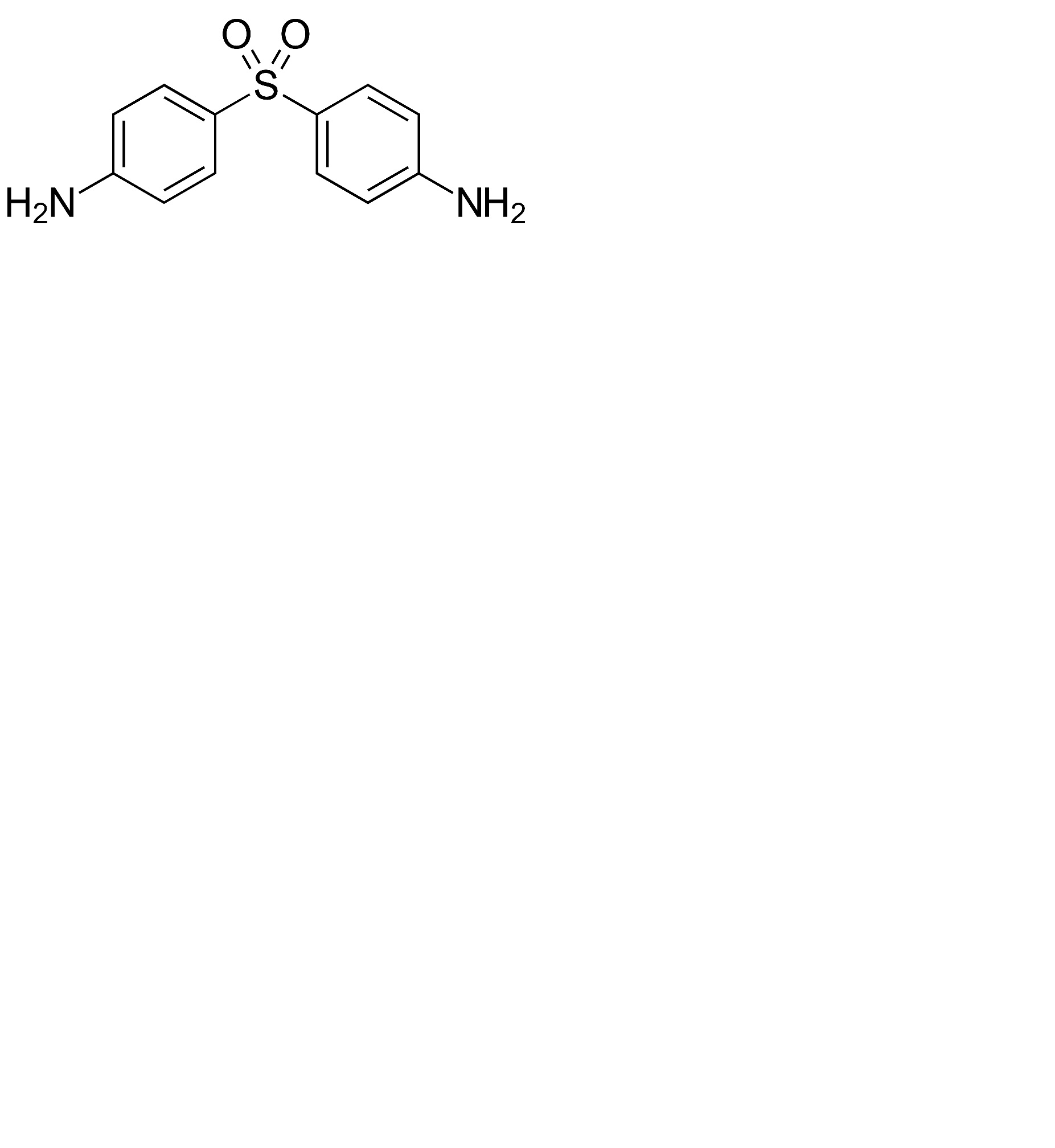
   Химична структура  

Унгвент/Унгвенти
Стабилност на смеси   Унгвент/Унгвенти   Стабилност на смеси : Dapsone     
Няма данни

  Mentions Légales