Ultimele actualizari :
27/04/2026
Antibiotic   Dapsone  
Unguente
Soluţie orală
Stabilitatea preparatelor farmaceutice Stabilitatea in amestec Factorii care influenteaza stabilitatea Compatibilitate Bibliografie pdf
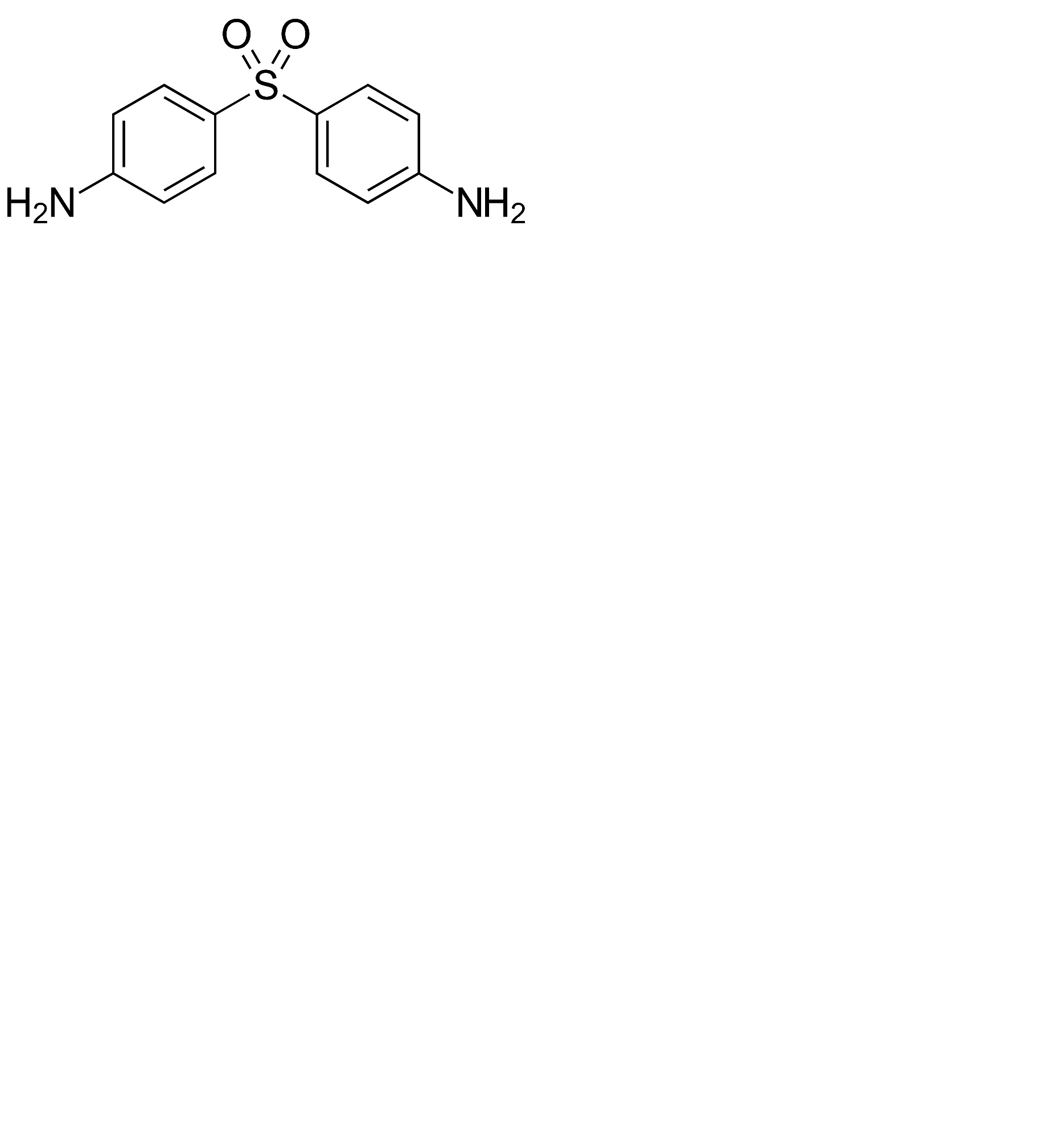
   Formula chimica  

Unguente
Stabilitatea in amestec   Unguente   Stabilitatea in amestec : Dapsone     
Absenta de date

  Mentions Légales