最新更新 :
27/04/2026
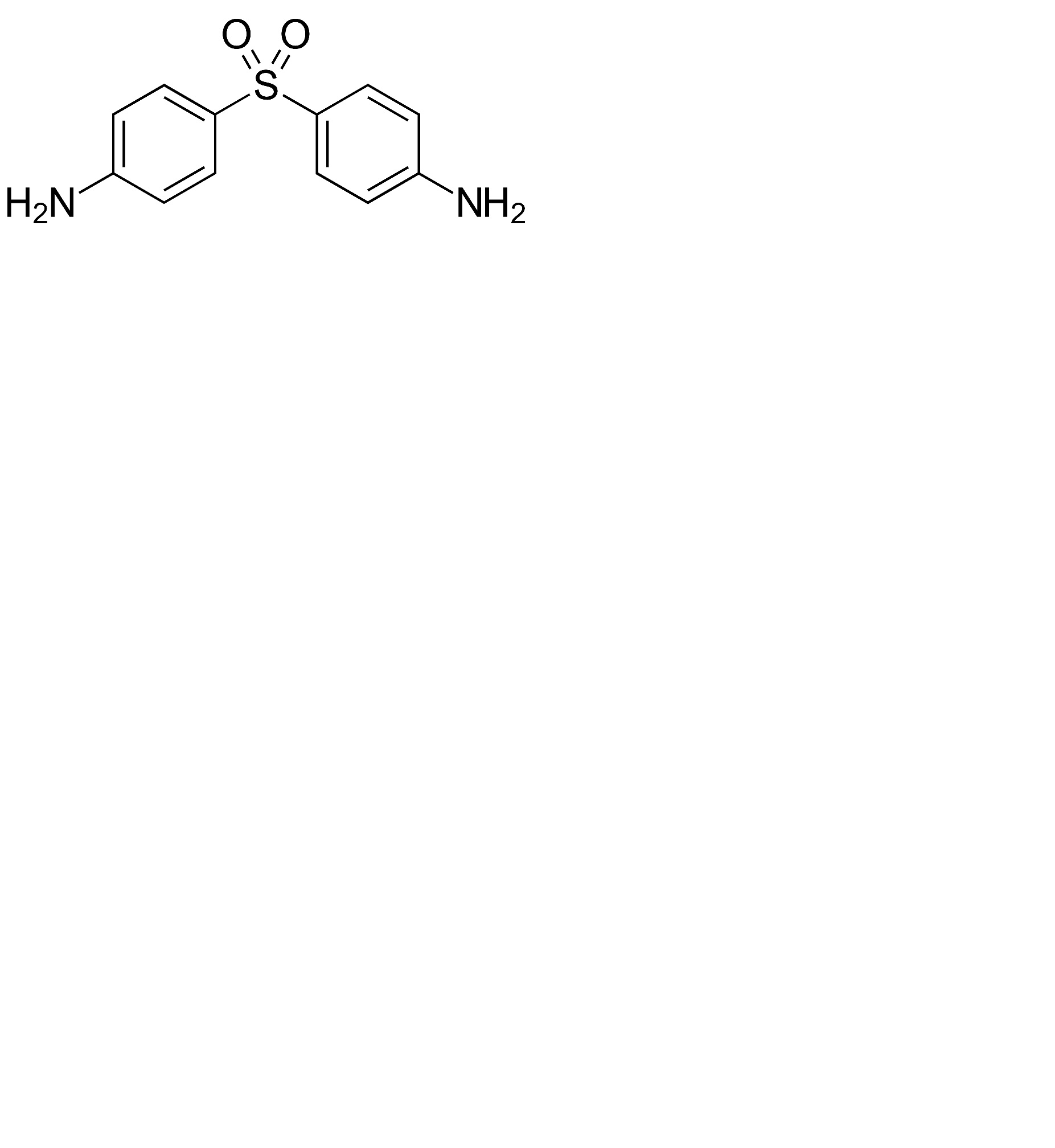
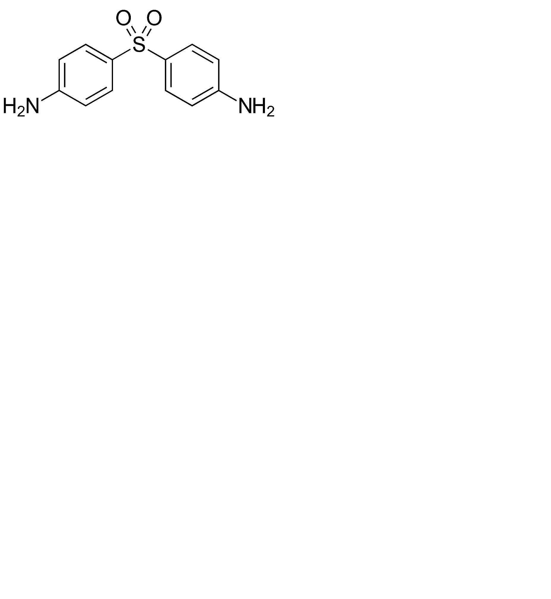
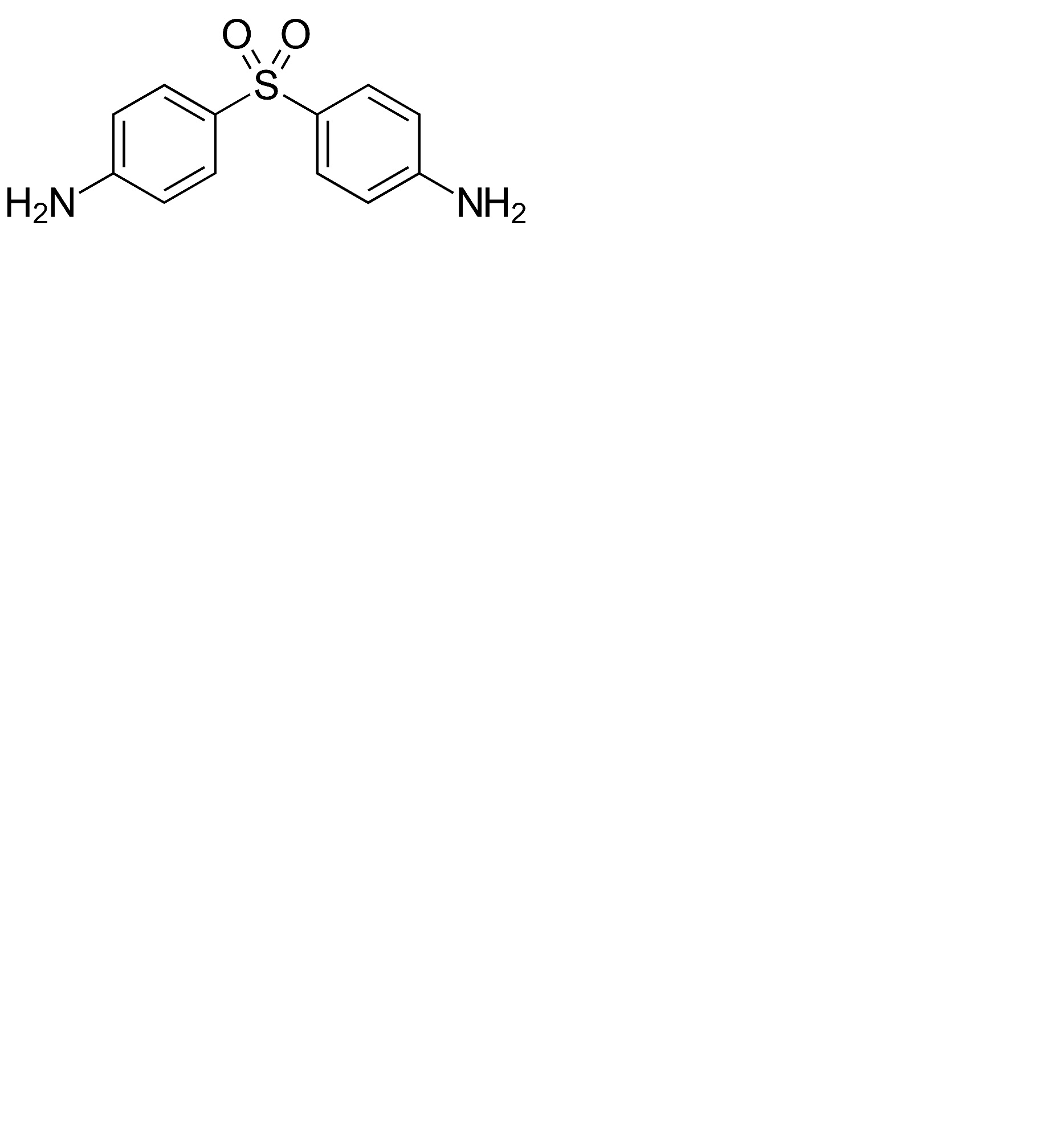
抗生素   Dapsone  
药膏
口服剂
制剂的稳定性 混合物稳定性 影响稳定性的因素 兼容性 引用文献 PDF
   化学式  

药膏
混合物稳定性   药膏   混合物稳定性 : Dapsone     
无数据

  Mentions Légales