Poslední aktualizace :
27/04/2026
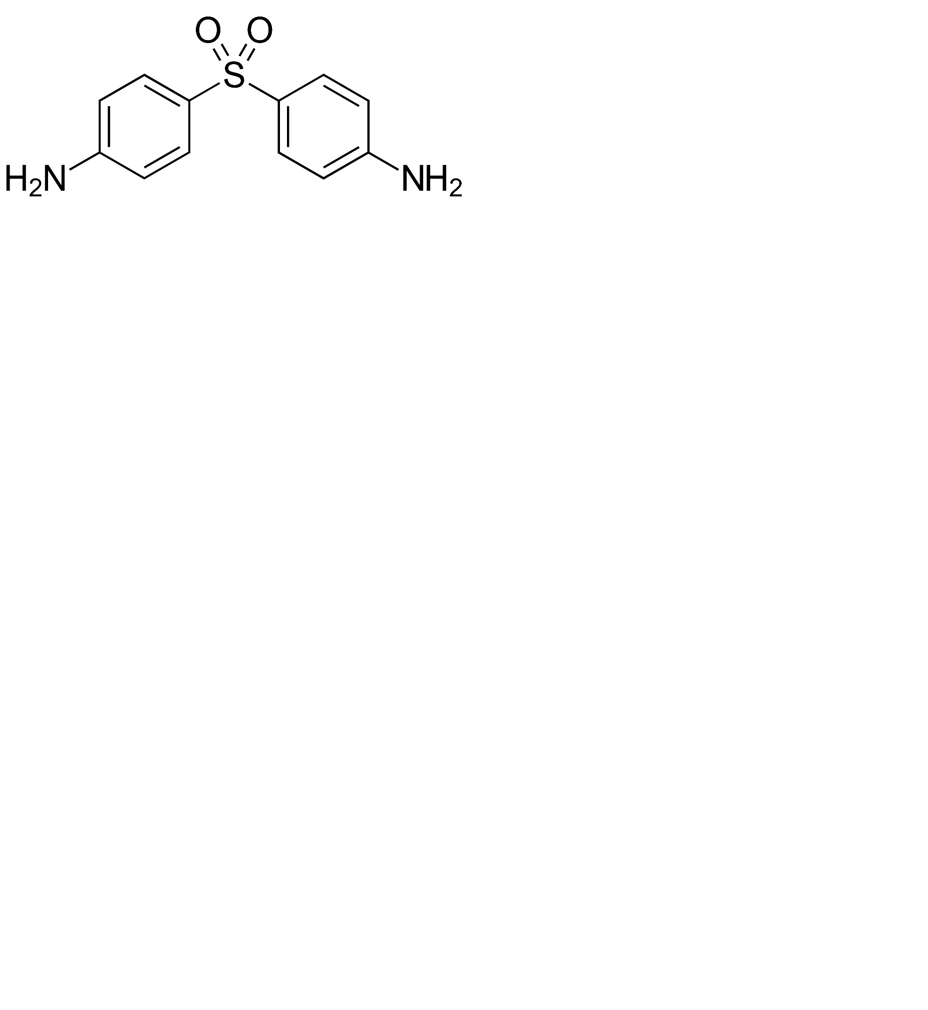
Antibiotikum   Dapsone  
Masti
Perorální roztok
Stabilita farmaceutických přípravků Stabilita směsí Faktory ovlivňující stabilitu Kompatibilita Odkazy pdf
   Chemický vzorec  

Masti
Stabilita směsí   Masti   Stabilita směsí : Dapsone     
žádná data

  Mentions Légales