Last update :
27/04/2026
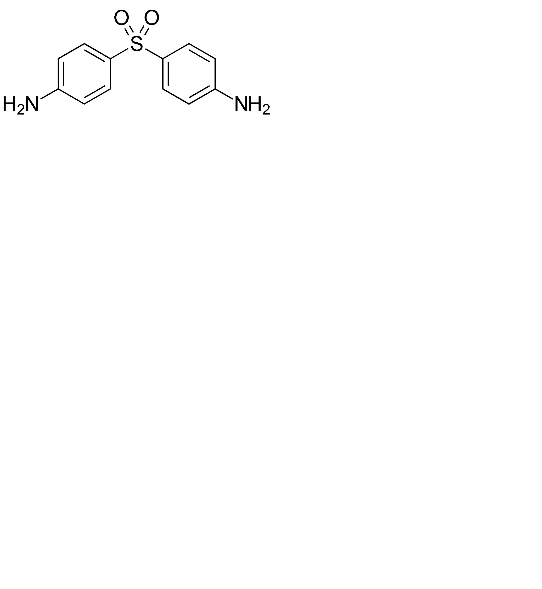
Antibiotic   Dapsone  
Ointments
Oral solution
Stability of pharmaceutical preparations Stability of mixtures Factors which affect stability Compatibility References pdf
   Chemical structure  

Ointments
Stability of mixtures   Ointments   Stability of mixtures : Dapsone     
No data

  Mentions Légales