آخر تحديث :
27/04/2026
مضاد حيوي   Dapsone  
المراهم
عن طريق الفم
استقرار المستحضرات الصيدلانية استقرار مخاليط العوامل التي تؤثر على الاستقرار التوافق مراجع pdf
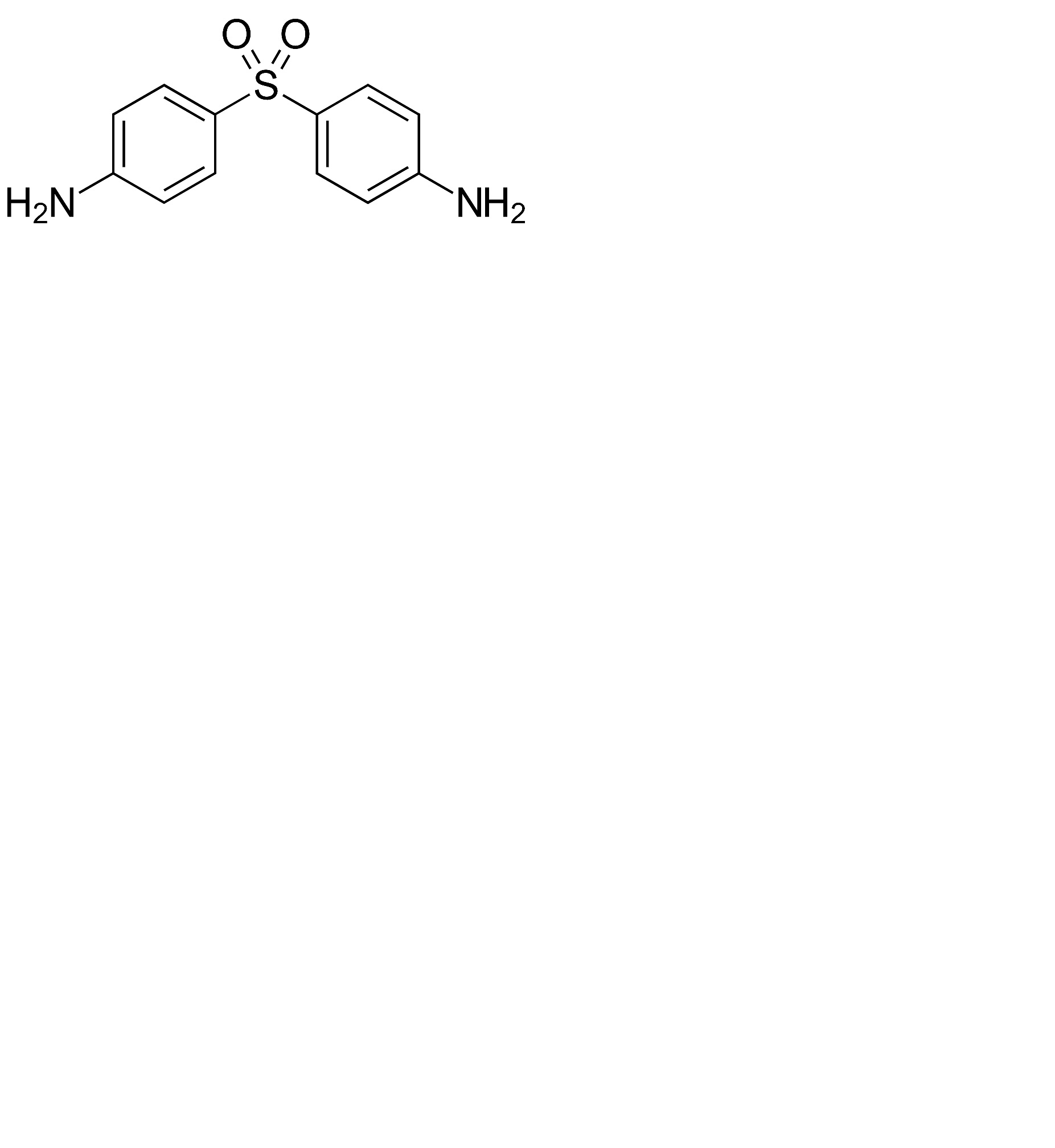
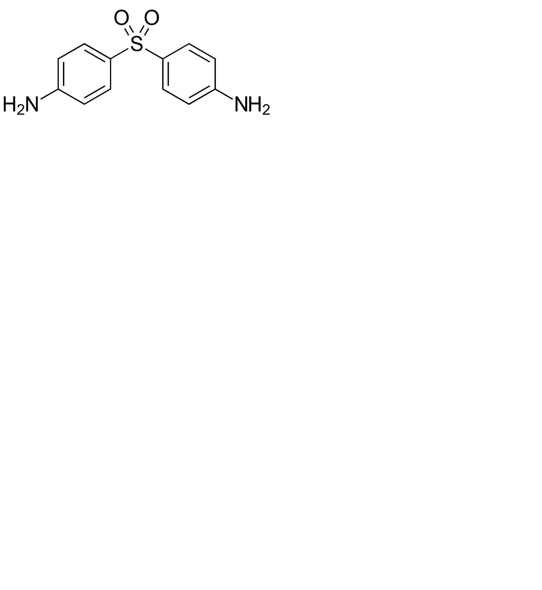
   التركيب الكيميائي  

المراهم
استقرار مخاليط   المراهم   استقرار مخاليط : Dapsone     
لا توجد بيانات

  Mentions Légales