Останнє оновлення :
27/01/2026
Протирвотний засіб   Prochlorperazine edysilate  
краплі в ніс
ін'єкція
Стабільність фармацевтичних препаратів Стійкість сумішей Фактори, що впливають на стабільність Сумісність Список літератури pdf
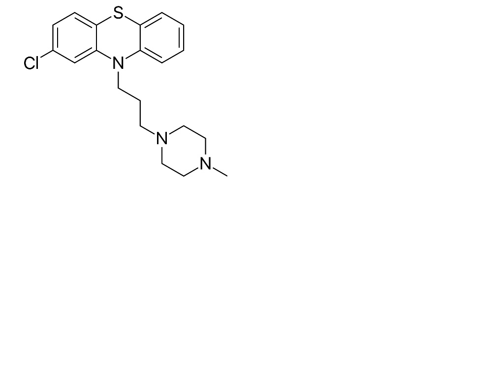
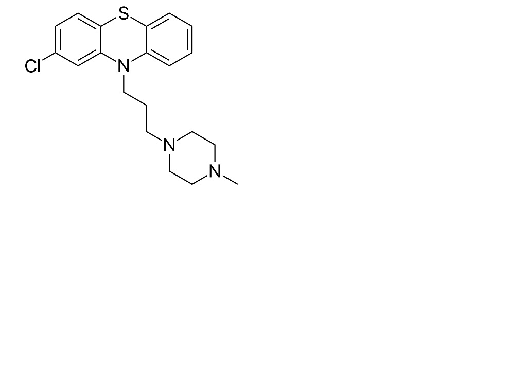
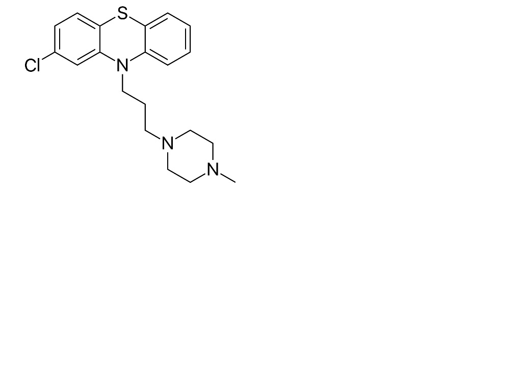
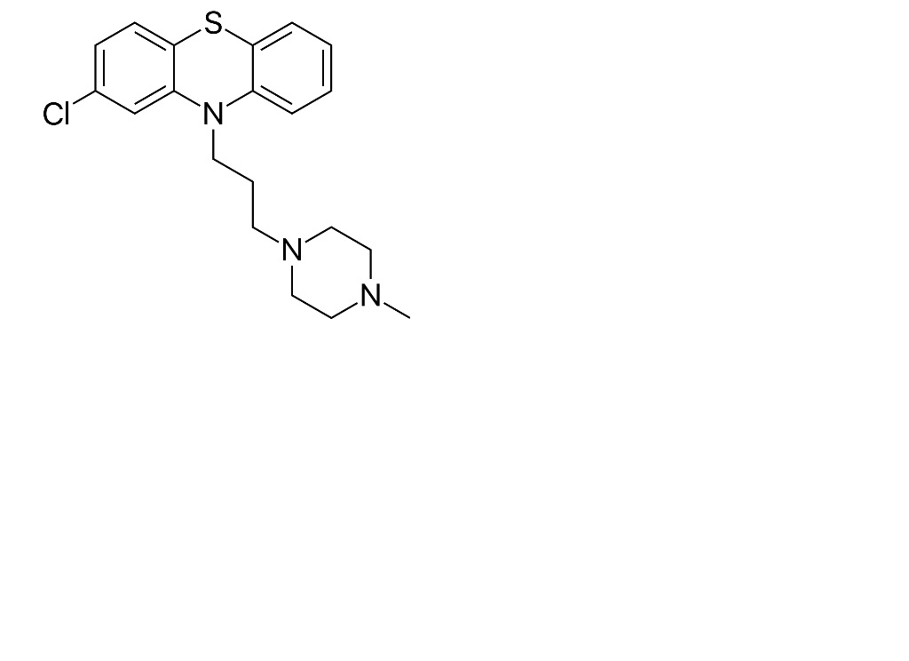
   Хімічна структура  

краплі в ніс

Фактори, що впливають на стабільність   краплі в ніс   Фактори, що впливають на стабільність : Prochlorperazine edysilate        
7 / 5 000 Résultats de traduction Немає даних

  Mentions Légales