Последно актуализиране :
27/01/2026
Антиеметик   Prochlorperazine edysilate  
Капки за нос
Инжекция/Инжекционен
Стабилност на лекарствени препарати Стабилност на смеси Фактори, повлияващи стабилността Съвместимост Библиография Pdf
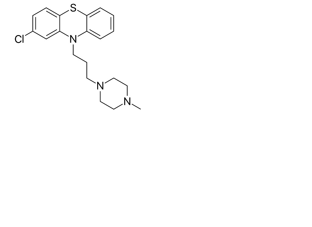
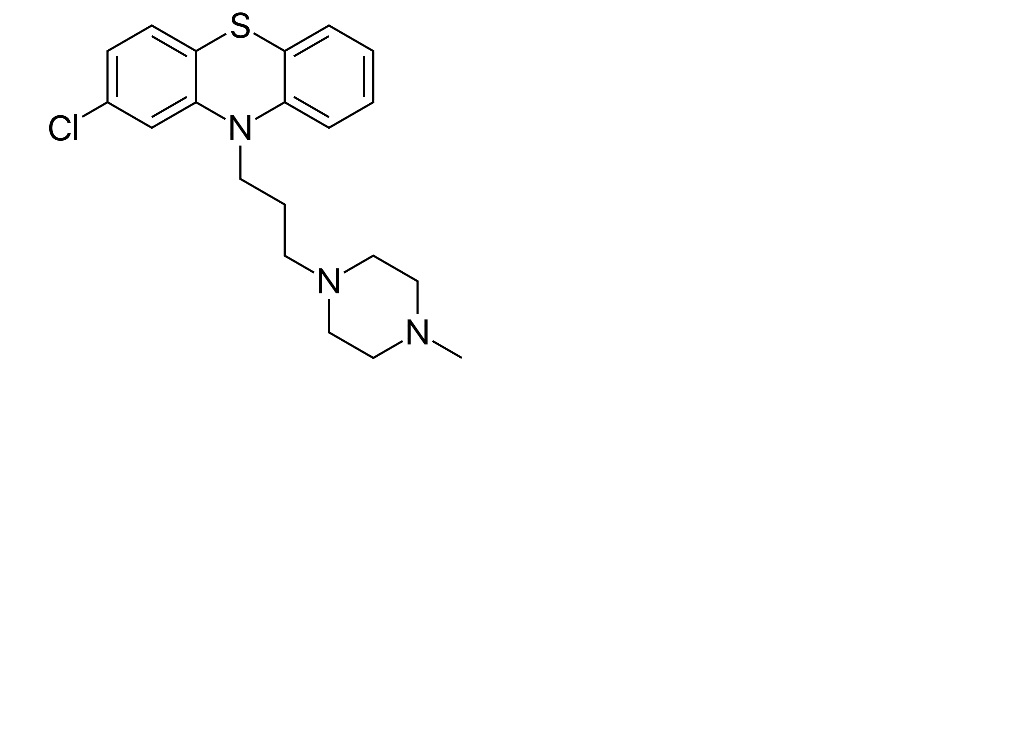
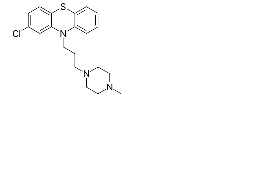
   Химична структура  

Капки за нос

Фактори, повлияващи стабилността   Капки за нос   Фактори, повлияващи стабилността : Prochlorperazine edysilate        
Няма данни

  Mentions Légales