Последнее обновление :
27/01/2026
Противорвотный   Prochlorperazine edysilate  
Капли в нос
Инъекция
Стабильность фармацевтических препаратов Стабильность смесей Факторы, которые влияют на стабильность Совместимость Библиография pdf
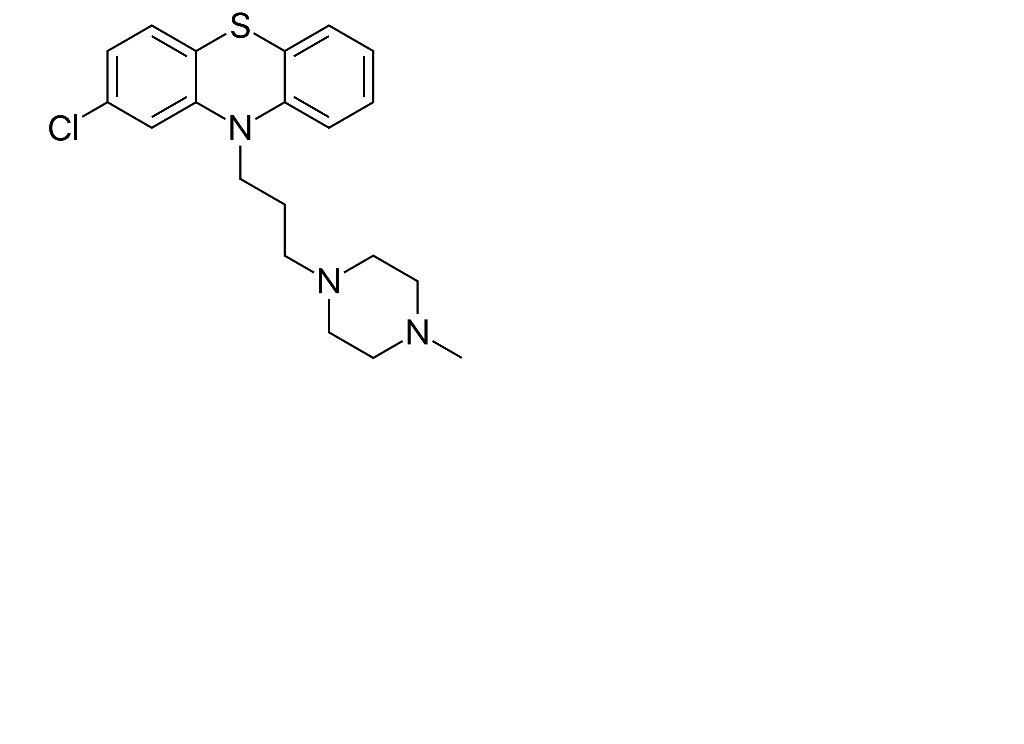
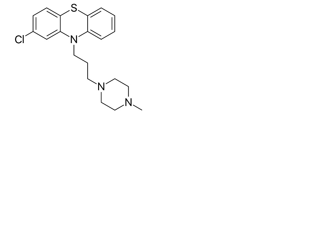
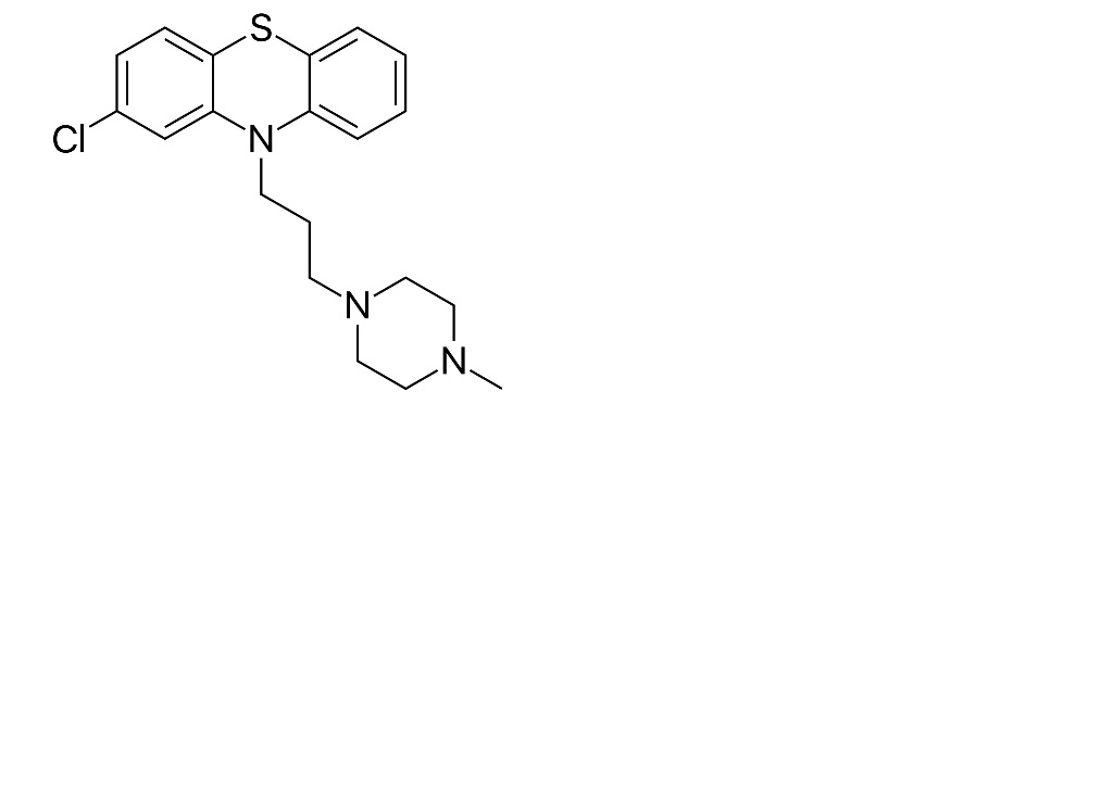
   Химическая структура  

Капли в нос

Факторы, которые влияют на стабильность   Капли в нос   Факторы, которые влияют на стабильность : Prochlorperazine edysilate        
данных нет

  Mentions Légales