Last update :
27/01/2026
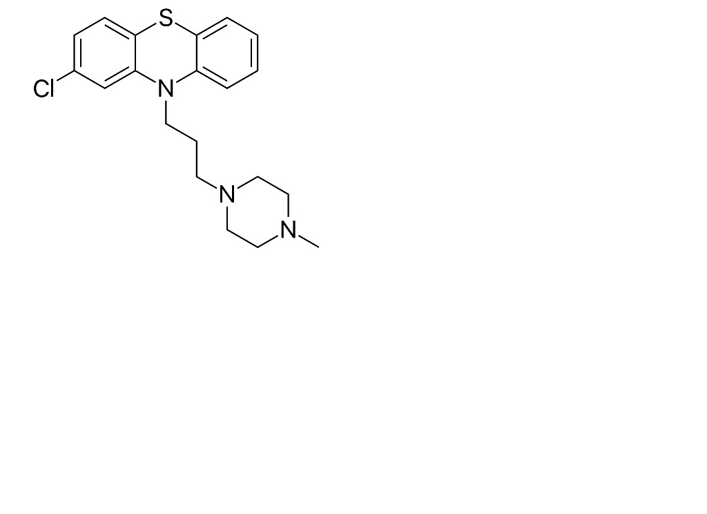
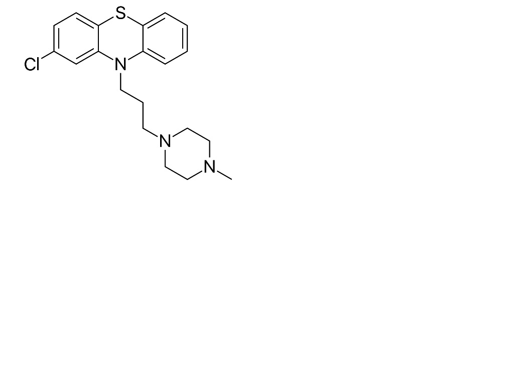
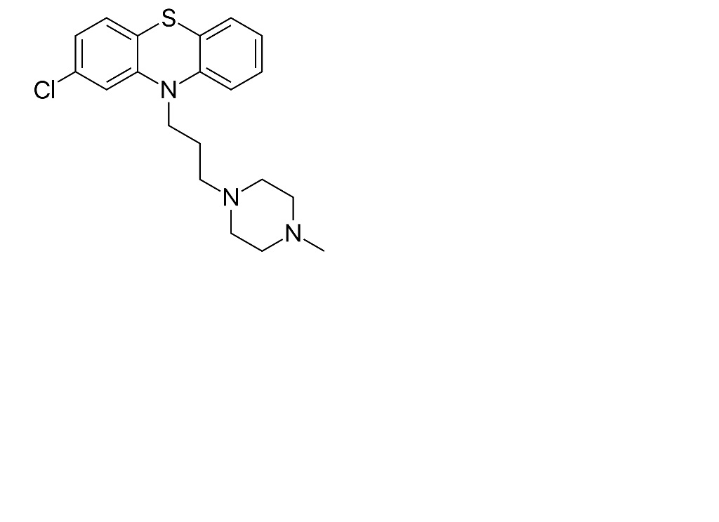
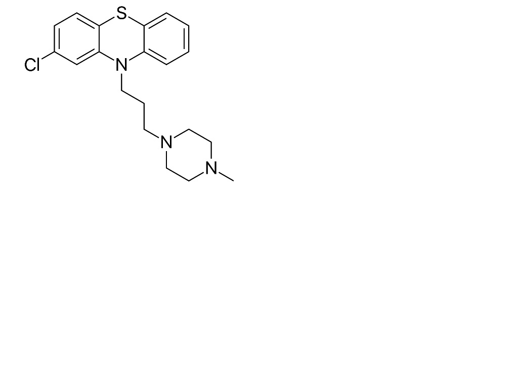
Antiemetic   Prochlorperazine edysilate  
nasal drops
injection
Stability of pharmaceutical preparations Stability of mixtures Factors which affect stability Compatibility References pdf
   Chemical structure  

nasal drops

Factors which affect stability   nasal drops   Factors which affect stability : Prochlorperazine edysilate        
No data

  Mentions Légales