Τελευταία ενημέρωση :
27/01/2026
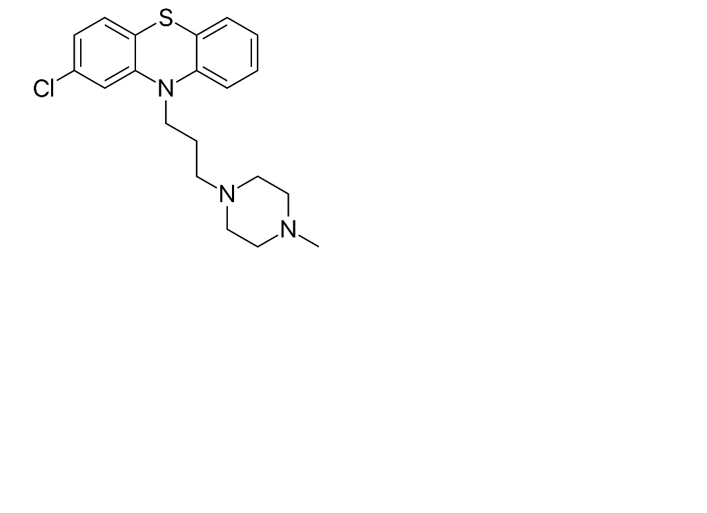
Αντιεμετικό   Prochlorperazine edysilate  
Ρινικές σταγόνες
Ενέσιμο
Σταθερότητα και συμβατότητα των φαρμάκων Σταθερότητα σε μίγματα Παράγοντας που επηρεάζει τη σταθερότητα Συμβατότητες Βιβλιογραφία pdf
   χημική δομή  

Ρινικές σταγόνες

Παράγοντας που επηρεάζει τη σταθερότητα   Ρινικές σταγόνες   Παράγοντας που επηρεάζει τη σταθερότητα : Prochlorperazine edysilate        
Δεν υπάρχουν πληροφορίες

  Mentions Légales