viimane versioon :
27/01/2026
antiemeetikum   Prochlorperazine edysilate  
ninatilgad
Süsteravim
Stabiilsust ravimpreparaadid Stabiilsust mõjutavad tegurid stabiilsust mõjutavad faktorid Sobimatus Viited pdf
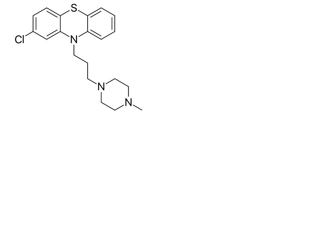
   keemiline struktuur  

ninatilgad

stabiilsust mõjutavad faktorid   ninatilgad   stabiilsust mõjutavad faktorid : Prochlorperazine edysilate        
andmed puuduvad

  Mentions Légales