Senaste uppdateringen :
27/01/2026
Antiemetikum   Prochlorperazine edysilate  
Näsdroppar
injektion
Stabilitet av läkemedel Stabilitet i blandningar Faktorer som påverkar stabiliteten Kompatibilitet Hänvisningar pdf
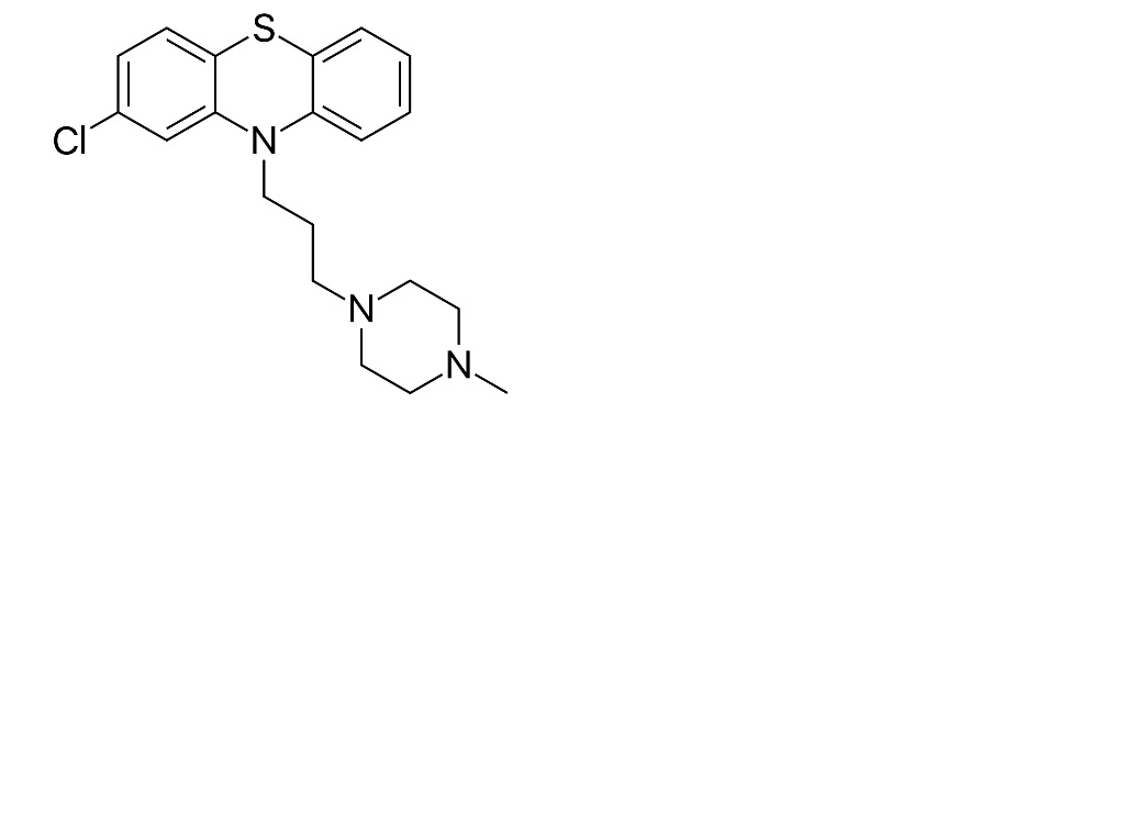
   Molekylstruktur  

Näsdroppar

Faktorer som påverkar stabiliteten   Näsdroppar   Faktorer som påverkar stabiliteten : Prochlorperazine edysilate        
Ingen uppgift

  Mentions Légales