Viimeisin päivitys :
27/01/2026
Pahoinvontilääkkeet   Prochlorperazine edysilate  
Nenätipat
Injektioneste
Vakaus lääkevalmisteen Stabilius seoksissa Tekijät, jotka vaikuttavat stabiliuteen Yhteensopivuus Viitteet pdf
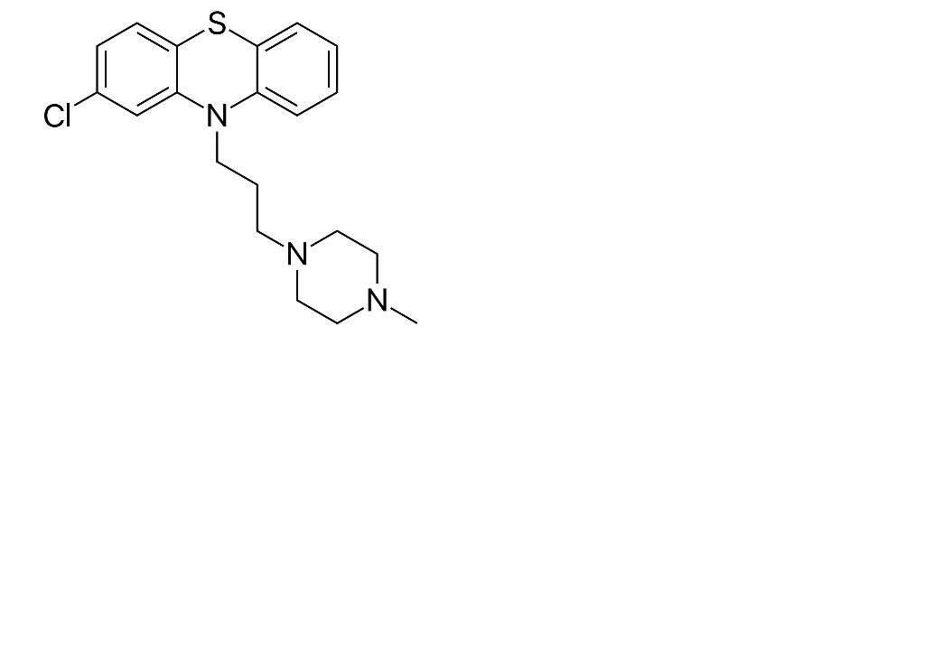
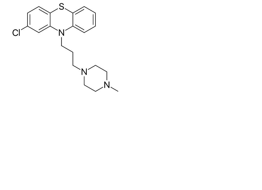
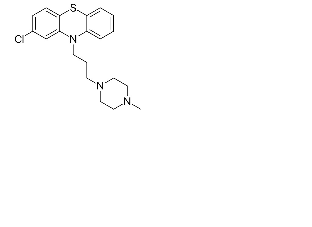
   Kemiallinen rakenne  

Nenätipat

Tekijät, jotka vaikuttavat stabiliuteen   Nenätipat   Tekijät, jotka vaikuttavat stabiliuteen : Prochlorperazine edysilate        
ei tietoa

  Mentions Légales