Poslední aktualizace :
27/01/2026
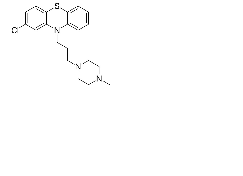
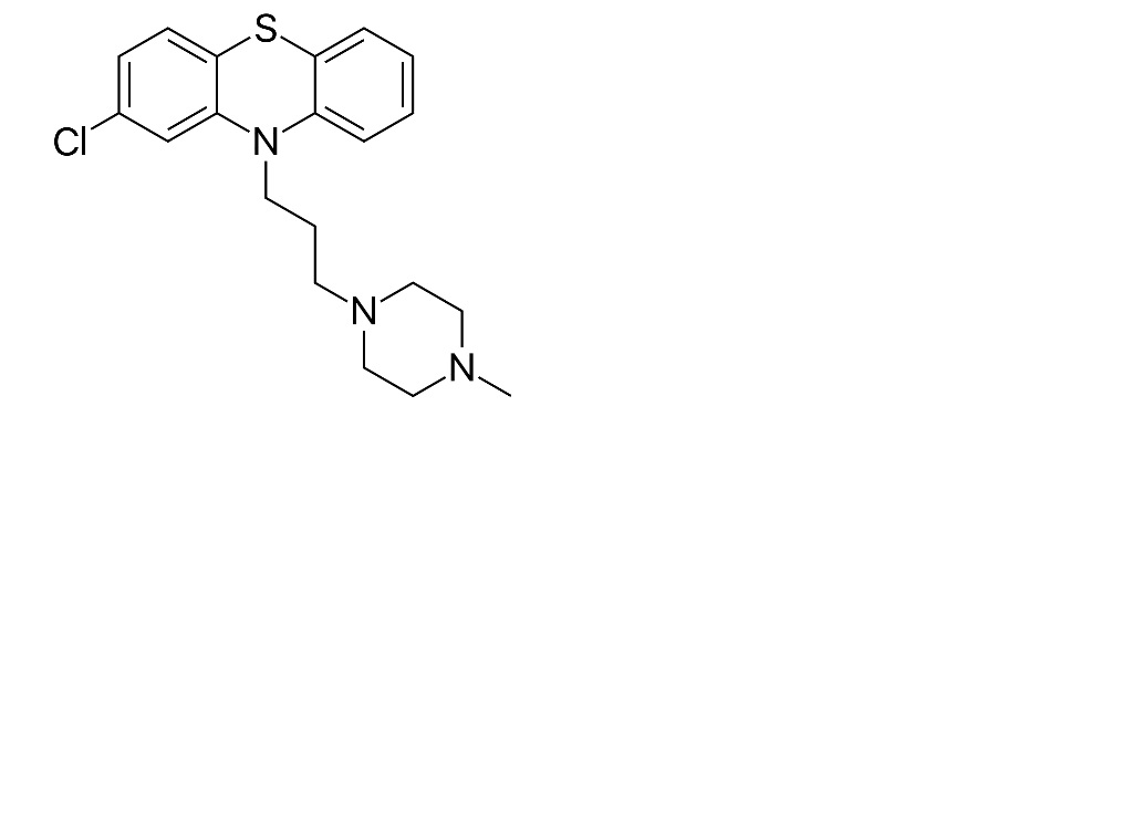
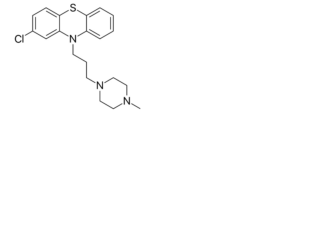
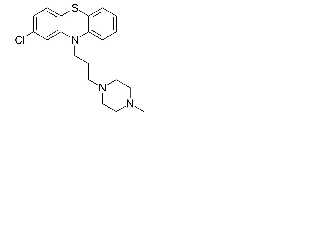
Antiemetikum   Prochlorperazine edysilate  
nosní kapky
injekce
Stabilita farmaceutických přípravků Stabilita směsí Faktory ovlivňující stabilitu Kompatibilita Odkazy pdf
   Chemický vzorec  

nosní kapky

Faktory ovlivňující stabilitu   nosní kapky   Faktory ovlivňující stabilitu : Prochlorperazine edysilate        
žádná data

  Mentions Légales