آخر تحديث :
18/03/2026
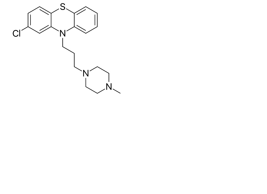
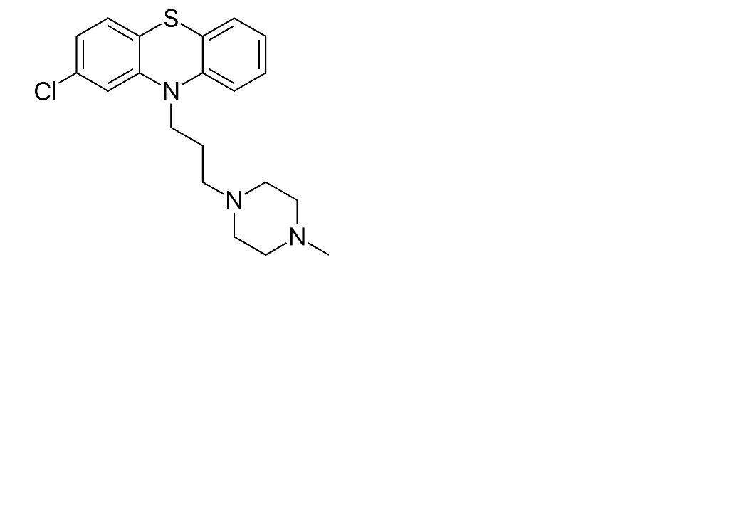
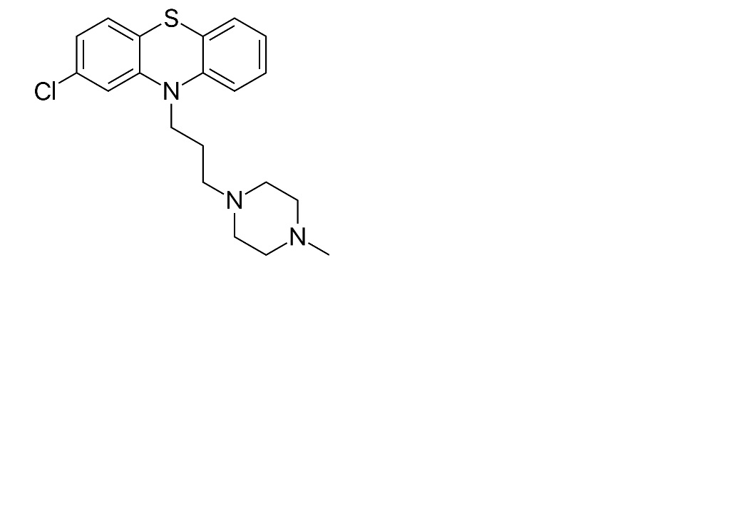
مضاد للقىء   Prochlorperazine edysilate  
قطرات الأنف
حقن
استقرار المستحضرات الصيدلانية استقرار مخاليط العوامل التي تؤثر على الاستقرار التوافق مراجع pdf
   التركيب الكيميائي  

قطرات الأنف

العوامل التي تؤثر على الاستقرار   قطرات الأنف   العوامل التي تؤثر على الاستقرار : Prochlorperazine edysilate        
لا توجد بيانات

  Mentions Légales