最新更新 :
27/01/2026
制吐薬   Prochlorperazine edysilate  
点鼻薬
注射薬
調剤時の安定性 混合時の安定性 安定性に影響する因子 互換性 引用文献 PDF
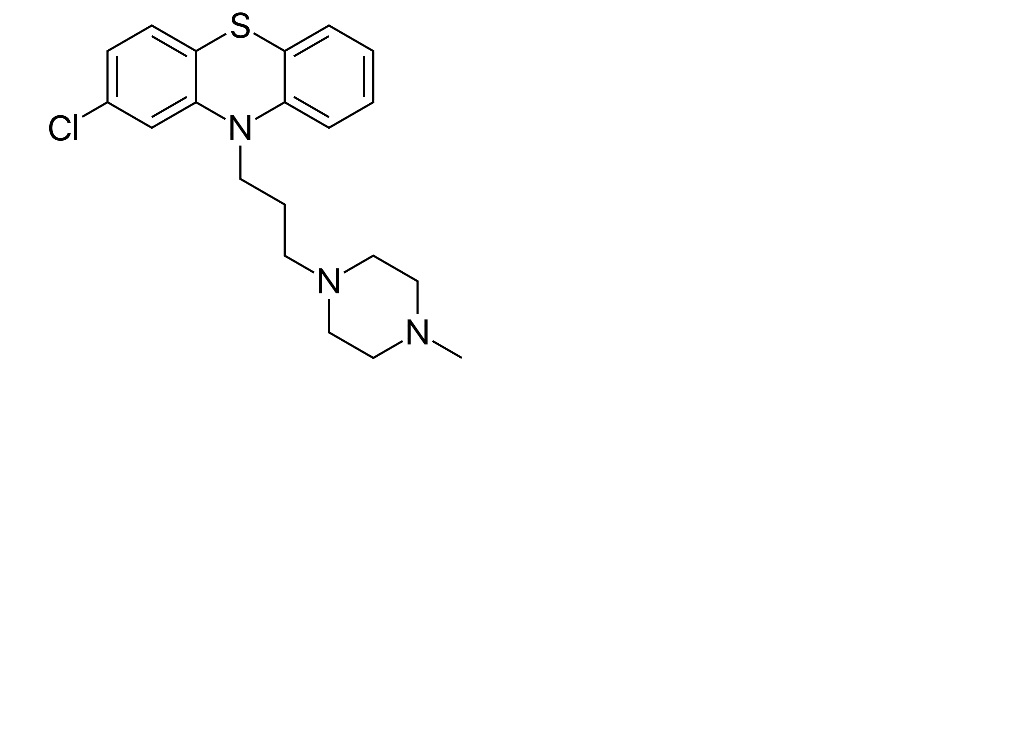
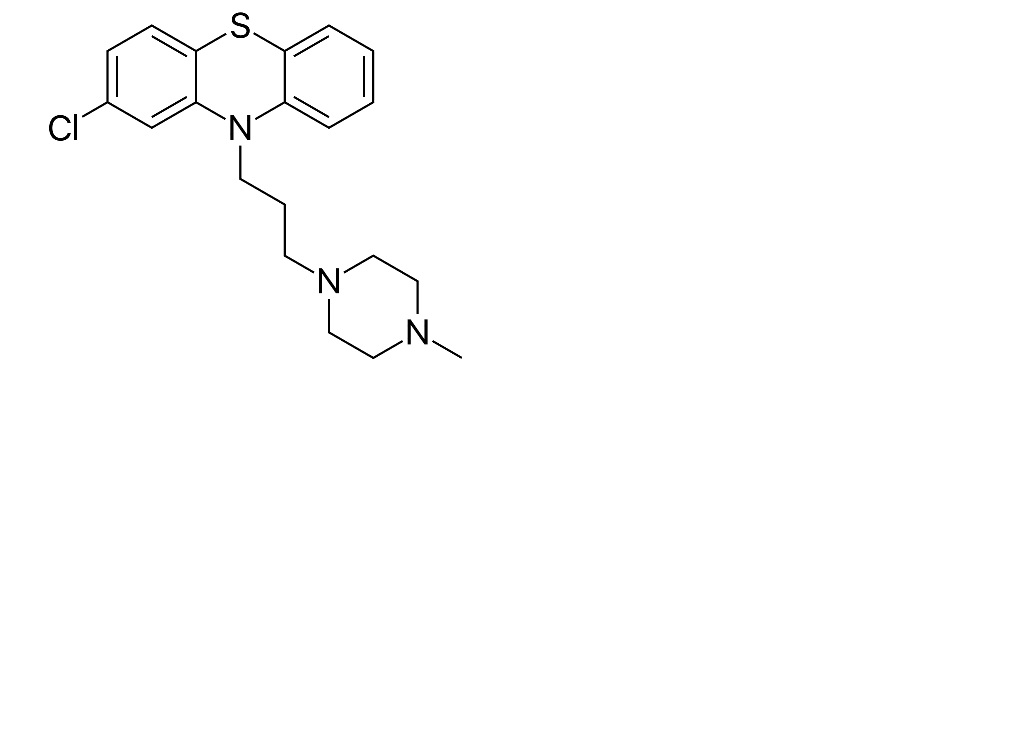
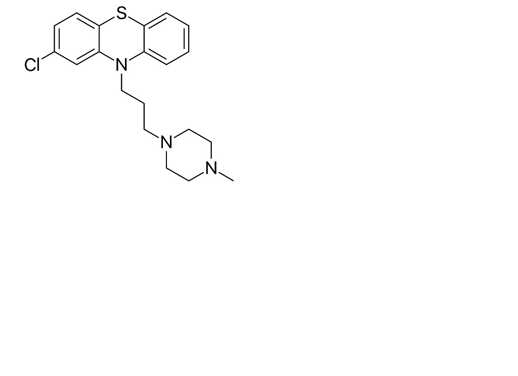
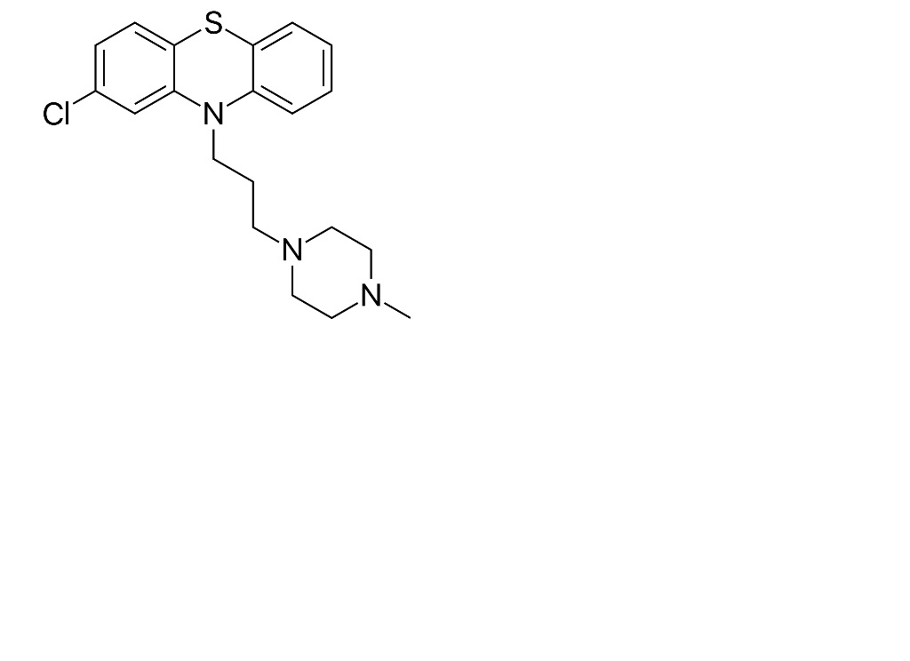
   化学構造  

点鼻薬

安定性に影響する因子   点鼻薬   安定性に影響する因子 : Prochlorperazine edysilate        
データなし

  Mentions Légales