Utolsó frissítés :
27/01/2026
Hányáscsillapító   Prochlorperazine edysilate  
orrcseppek
Injekció
Stabilitása gyógyszerészeti készítmények A keverékek stabilitása Stabilitást befolyásoló tényezők Kompatibilitás Irodalom pdf
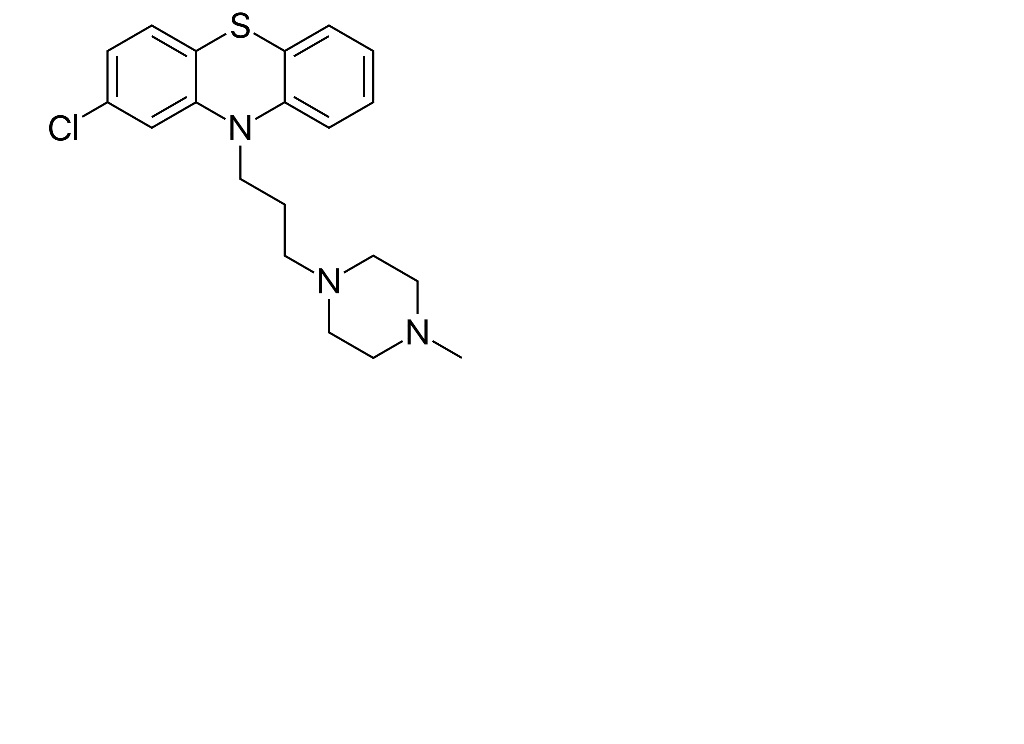
   Kémiai szerkezet   

orrcseppek

Stabilitást befolyásoló tényezők   orrcseppek   Stabilitást befolyásoló tényezők : Prochlorperazine edysilate        
Hiányzó adat

  Mentions Légales