Posledná aktualizácia :
27/01/2026
antiemetikum   Prochlorperazine edysilate  
Nosová instilácia
Injekcia
Stabilita farmaceutických prípravkov Stabilita v zmesiach Faktory ovplyvňujúce stabilitu Kompatibility Odkazy na literatúru PDF
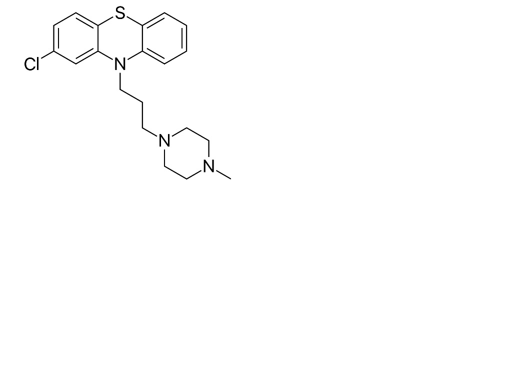
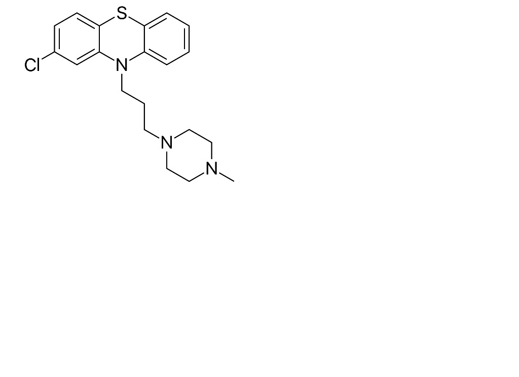
   Chemický vzorec  

Nosová instilácia

Faktory ovplyvňujúce stabilitu   Nosová instilácia   Faktory ovplyvňujúce stabilitu : Prochlorperazine edysilate        
žiadne údaje

  Mentions Légales