Letztes “update” :
27/01/2026
Antiemetikum   Prochlorperazine edysilate  
Nasentropfen
Injektion
Stabilität von pharmazeutischen Präparaten Gemengestabilität Stabilitätbeeinflussende Faktoren Kompatibilitäten Literaturverzeichnis pdf
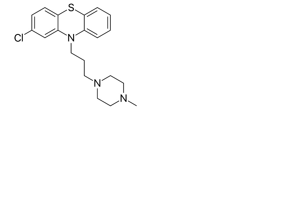
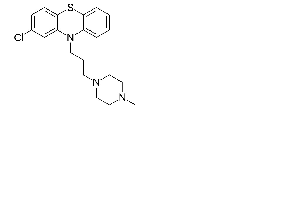
   Chemische Struktur  

Nasentropfen

Stabilitätbeeinflussende Faktoren   Nasentropfen   Stabilitätbeeinflussende Faktoren : Prochlorperazine edysilate        
Keine Daten

  Mentions Légales