Última actualización :
27/01/2026
Antiemético   Prochlorperazine edysilate  
Gotas nasales
Inyectables
La estabilidad de las preparaciones farmacéuticas Estabilidad en mezcla Factores que influyen sobre la estabilidad Compatibilidades Bibliografía pdf
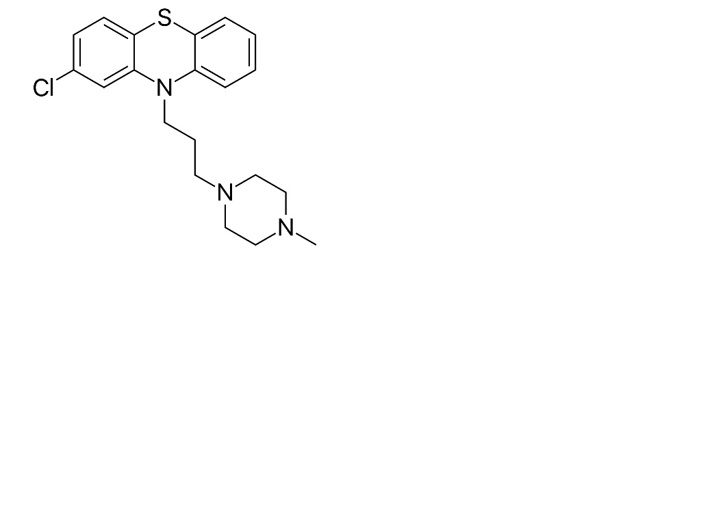
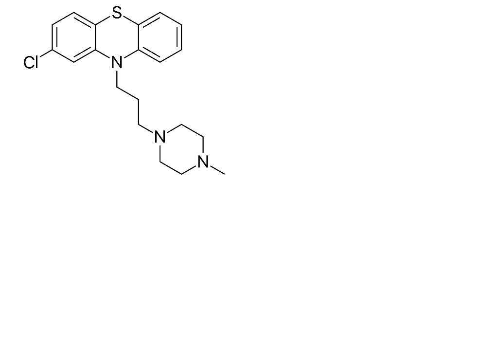
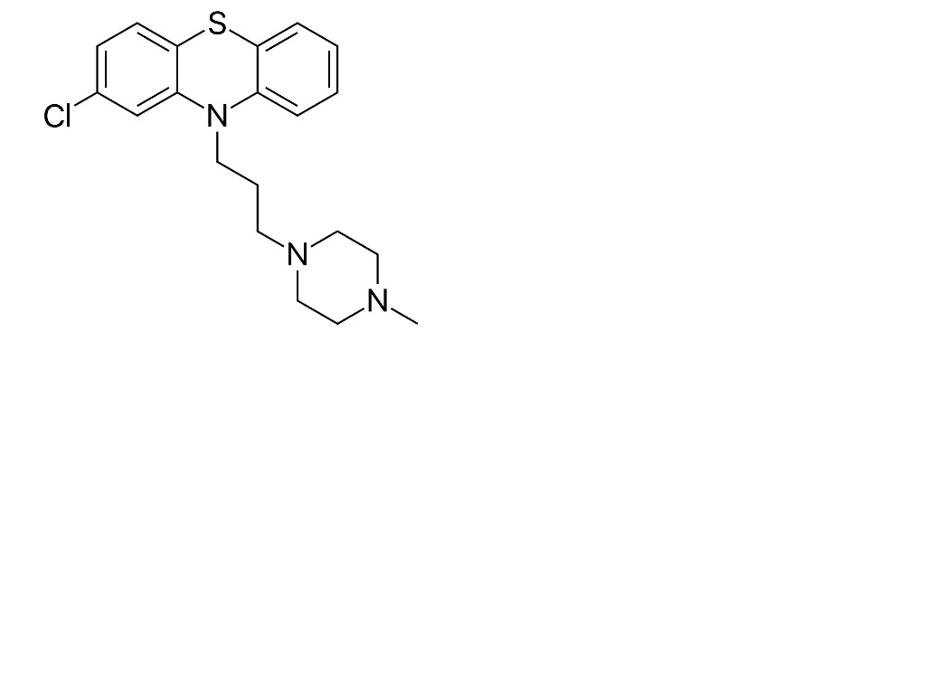
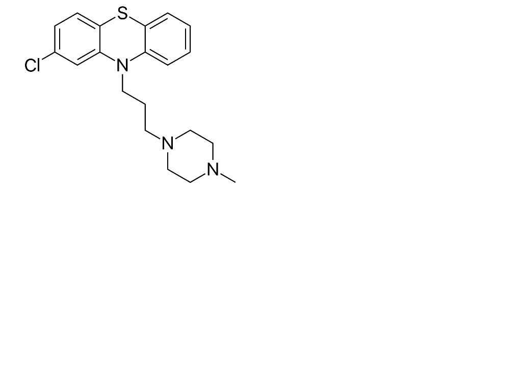
   Estructura química  

Gotas nasales

Factores que influyen sobre la estabilidad   Gotas nasales   Factores que influyen sobre la estabilidad : Prochlorperazine edysilate        
Ausencia de datos

  Mentions Légales