Siste oppdatering :
27/01/2026
Antiemetika   Prochlorperazine edysilate  
Nesedråper
Injeksjon
Stabilitet av farmasøytiske preparater Stabilitet i blandinger Faktorer som påvirker stabiliteten Kompatibilitet Referanser pdf
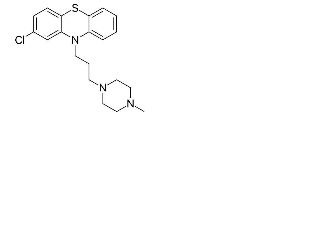
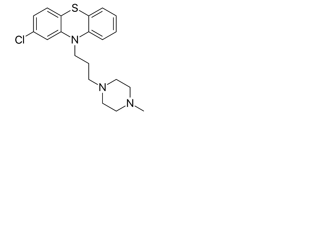
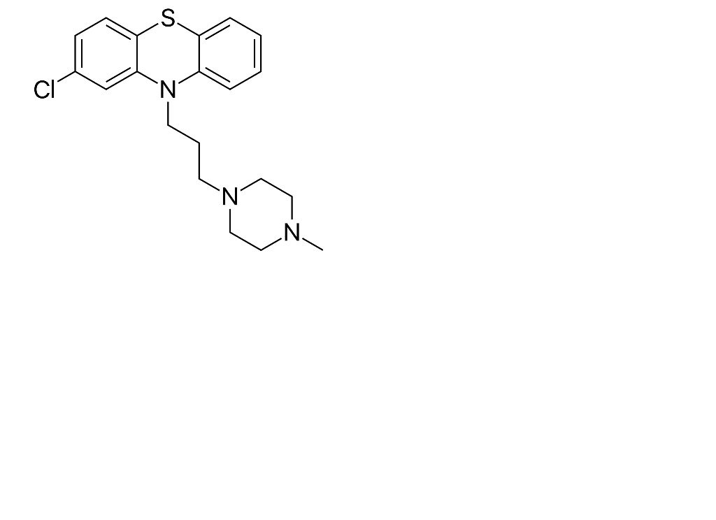
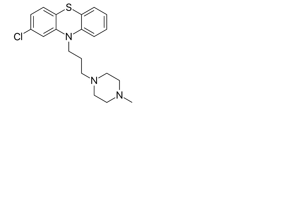
   Kjemisk struktur  

Nesedråper

Faktorer som påvirker stabiliteten   Nesedråper   Faktorer som påvirker stabiliteten : Prochlorperazine edysilate        
Ingen opplysninger

  Mentions Légales