Cập nhật lần cuối :
27/01/2026
Thuốc chống viêm   Ketoprofene  
Dạng bôi da
Dạng tiêm Dung dịch uống Thuốc đạn
Tính ổn định của các chế phẩm Độ ổn định khi trộn lẫn Những yếu tố ảnh hưởng đến độ ổn định Khả năng tương thích Tài liệu tham khảo Pdf
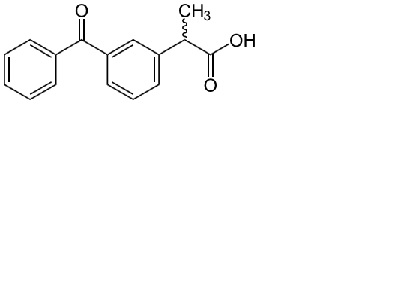
   Cấu trúc hóa học  

Dạng bôi da

Những yếu tố ảnh hưởng đến độ ổn định   Dạng bôi da   Những yếu tố ảnh hưởng đến độ ổn định : Ketoprofene        
Không có dữ liệu

  Mentions Légales