Ultimele actualizari :
27/01/2026
Antiinflamator   Ketoprofene  
Unguente
Injectabil Soluţie orală Supozitoare
Stabilitatea preparatelor farmaceutice Stabilitatea in amestec Factorii care influenteaza stabilitatea Compatibilitate Bibliografie pdf
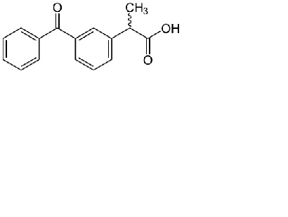
   Formula chimica  

Unguente

Factorii care influenteaza stabilitatea   Unguente   Factorii care influenteaza stabilitatea : Ketoprofene        
Absenta de date

  Mentions Légales