Останнє оновлення :
27/01/2026
Протизапальні ліки   Ketoprofene  
Мазі
ін'єкція Розчин для перорального застосування супозиторій
Стабільність фармацевтичних препаратів Стійкість сумішей Фактори, що впливають на стабільність Сумісність Список літератури pdf
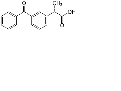
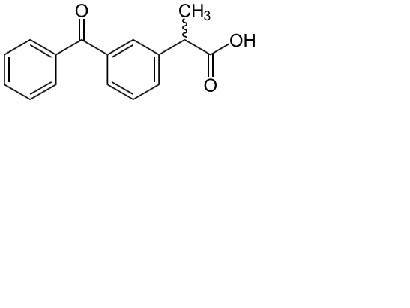
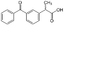
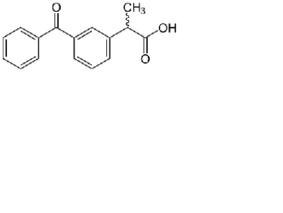
   Хімічна структура  

Мазі

Фактори, що впливають на стабільність   Мазі   Фактори, що впливають на стабільність : Ketoprofene        
7 / 5 000 Résultats de traduction Немає даних

  Mentions Légales