Zadnji put ažurirano :
27/01/2026
protuupalni   Ketoprofene  
masti
čepić injekcija oralna otopina
Stabilnost farmaceutskih pripravaka Stabilnost mješavine Stabilizacijski faktor Kompatibilnosti Bibliografija pdf
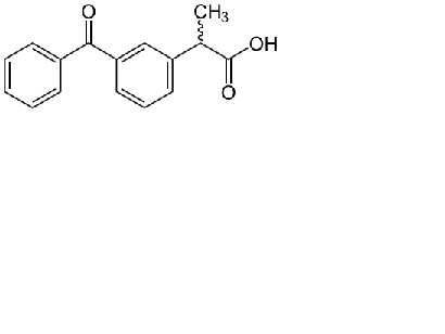
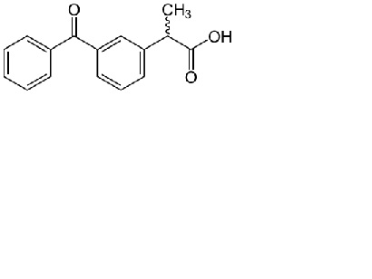
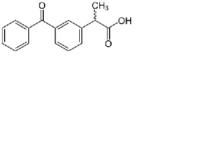
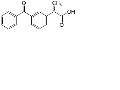
   Kemijska struktura  

masti

Stabilizacijski faktor   masti   Stabilizacijski faktor : Ketoprofene        
bez podataka

  Mentions Légales